doi: 10.56294/dm2024.220
ORIGINAL
Organizational culture and innovative behavior Through ANOVA analysis
Cultura organizacional y comportamiento innovador mediante análisis ANOVA
Yadira Paola Borja Brazales1
*, Vladimir Marconi Ortiz Bustamante1
*, Nelson Wilfrido Guagchinga Chicaiza1
*, Margarita Nataly
Cadena Castillo1
*
1Universidad Técnica de Cotopaxi. Latacunga, Ecuador.
Citar como: Borja Brazales YP, Ortiz Bustamante VM, Guagchinga Chicaiza NW, Cadena Castillo MN. Organizational culture and innovative behavior Through ANOVA analysis. Data and Metadata. 2024; 3:.220. https://doi.org/10.56294/dm2024.220
Enviado: 11-01-2024 Revisado: 09-05-2024 Aceptado: 19-10-2024 Publicado: 20-10-2024
Editor: Adrián
Alejandro Vitón Castillo ![]()
Autor para la correspondencia: Yadira Paola Borja Brazales *
ABSTRACT
This study examines the impact of organizational culture on innovative behavior within the financial sector, focusing on the Sumak Samy Credit Union. The objective is to establish a link between these variables through a quantitative methodology encompassing exploratory, descriptive, bibliographic and correlational research. A total of 20 employees of the cooperative participated in the research and completed surveys to ensure the reliability of the data. The research used two questionnaires: to assess organizational culture and to innovative behavior. The study confirmed the reliability of the instruments through Cronbach’s alpha coefficients, which were 0,73 for organizational culture and 0,69 for innovative behavior, indicating satisfactory consistency. The findings underline the need to improve the indicators with both aspects, and the importance of improvement for the Cooperative.
Keywords: Culture; Communication; Behavior; Innovation; Organization.
RESUMEN
Este estudio examina el impacto de la cultura organizacional en el comportamiento innovador dentro del sector financiero, centrándose en la Cooperativa de Ahorro y Crédito Sumak Samy. El objetivo es establecer un vínculo entre estas variables a través de una metodología cuantitativa que abarque la investigación exploratoria, descriptiva, bibliográfica y correlacional. Un total de 20 empleados de la cooperativa participaron en la investigación y completaron encuestas para garantizar la confiabilidad de los datos. La investigación utilizó dos cuestionarios para evaluar la cultura organizacional y el comportamiento innovador. El estudio confirmó la confiabilidad de los instrumentos mediante los coeficientes alfa de Cronbach, que fueron de 0,73 para la cultura organizacional y de 0,69 para el comportamiento innovador, lo que indica una consistencia satisfactoria. Los hallazgos subrayan la necesidad de mejorar los indicadores con ambos aspectos, y la importancia de la mejora para la Cooperativa.
Palabras clave: Cultura; Comunicación; Comportamiento; Innovación; Organización.
INTRODUCCIÓN
La cultura organizacional desempeña un papel crucial en la gestión de cualquier organización, ya que nos permite reconocer su importancia en las empresas que pueden haber pasado por alto estos asuntos por diversas razones. Lamentablemente, las repercusiones a menudo se manifiestan como un desempeño deficiente en toda la organización. Se utilizaron varias fuentes de apoyo para llevar a cabo la investigación, incluida la consulta de las siguientes tesis que se centraron en los niveles macro, meso y micro en las revisiones bibliográficas.
Según Robles et al.(1) de la Universidad Tecnológica Empresarial de Guayaquil-Ecuador, se realizó una investigación titulada la cultura organizacional y su impacto en el comportamiento innovador de la Empresa Pública de Parques Urbanos y Espacios Públicos en la provincia de Guayas. El estudio permite evaluar cómo la cultura organizacional afecta el comportamiento innovador de la Empresa Pública de Parques Urbanos y Espacios Públicos en la provincia de Guayas. Las metodologías empleadas revelaron que los gerentes, mandos intermedios y empleados coinciden en la necesidad de difundir aún más los enfoques utilizados para gestionar los indicadores, dimensiones y variables descritos en esta investigación.
Según Freire(2) se realizó un estudio en la Universidad Tecnológica Empresarial de Guayaquil centrado en la cultura organizacional y su influencia en el comportamiento innovador del Hospital General II-de Libertad. El objetivo fue establecer una correlación entre la cultura organizacional y el comportamiento innovador exhibido en el Hospital General II de Libertad. Los hallazgos indican el potencial para formular un modelo de cultura organizacional adaptado a la institución de estudio, impulsado por la búsqueda de un ambiente de trabajo propicio. En este estudio se tuvieron en cuenta los conocimientos de diversas fuentes para comprender los conceptos de cultura organizacional y comportamiento innovador.
Además Gómez(3) realizó un estudio sobre innovación y cultura organizacional. El objetivo principal de este estudio fue validar la correlación entre la cultura organizacional y la innovación, así como determinar el impacto de los diferentes elementos de la cultura corporativa en la innovación. Es importante destacar que los resultados fueron positivos, lo que indica que los niveles más altos de participación en el sector de servicios se traducen en un aumento de 1,8 veces la innovación. Por el contrario, el aspecto de la participación en el sector industrial solo se tradujo en un aumento de 1,21 veces. Este estudio proporcionó información valiosa sobre el tema, que posteriormente se incorporó a nuestra propia investigación.
Del mismo modo Ruiz(4) se examina el impacto de la cultura organizacional en el comportamiento innovador del servicio nacional de aduanas de Ecuador. Nuestro estudio tiene como objetivo investigar cómo la cultura organizacional influye en el comportamiento innovador dentro del Servicio Nacional de Aduanas de Ecuador. Los hallazgos revelan posibles soluciones para abordar el problema de la falta de cultura organizacional e innovación. La investigación incorpora una revisión exhaustiva de la literatura para obtener una visión más profunda de nuestro estudio.
Marco Teórico
Origen de la cultura organizacional
El inicio de la cultura organizacional se remonta a la década de 1950, una época en la que los académicos reconocieron la importancia de los valores y normas mutuos dentro de las operaciones organizacionales. Entre los pioneros en este campo se encuentra el renombrado psicólogo social Kurt Lewin, a quien se le atribuye la formulación de la teoría del campo de fuerza y el énfasis en el impacto del contexto social en el comportamiento humano.
El objetivo principal de un programa de cultura organizacional se centra en el aprendizaje del sistema y las acciones de traducción, así como en la asignación de tareas, recursos y la mejora de las conexiones interpersonales para mejorar la calidad del servicio al cliente. Es crucial mejorar y aumentar la eficiencia del proceso de implementación para abordar de manera eficiente los cambios en curso en un entorno ferozmente competitivo. Las organizaciones exitosas son aquellas capaces de adaptarse proactivamente a los cambios y ejecutarlos. Las organizaciones que adoptan una cultura de aprendizaje continuo son aquellas que están preparadas para asumir nuevas funciones y responsabilidades, a la vez que progresan y se educan constantemente en el campo de la tecnología.(5)
Teorías de la cultura organizacional.
Según Chiavenato(6) la cultura organizacional se define como el espíritu de una organización, que abarca sus creencias, valores y normas establecidas de comunicación y dinámica interpersonal.
La cultura organizacional puede describirse como un conjunto de comportamientos cultivados por una empresa en respuesta a sus desafíos de adaptación externa e integración interna. Estos comportamientos son ampliamente reconocidos como apropiados dentro de la organización y se transmiten a los miembros entrantes. Una cultura organizacional se centra en unir a las personas dentro de la empresa, lo que permite la integración de varios puntos de vista hacia un objetivo compartido. Se refiere a la forma en que las personas se comportan y colaboran eficazmente como un equipo cohesionado, teniendo en cuenta la variedad de valores, creencias, prácticas, costumbres, respuestas y experiencias organizacionales.(7,8,9)
Las organizaciones exitosas poseen una cultura sólida que atrae, retiene e incentiva de manera efectiva a los empleados por su desempeño excepcional y el logro de sus objetivos. Una responsabilidad crucial de la alta dirección es establecer una cultura que realmente pueda impactar a la organización, particularmente en términos de ética y enfoque gerencial. Además, la cultura organizacional permite a las empresas prever y aceptar los cambios provocados por el entorno externo, lo que mejora la calidad de sus servicios y cumple con los estándares de calidad de la sociedad.
Elementos de cultura organizativa
La cultura organizacional está influenciada por la estructura institucionalizada de la entidad organizacional. Esta estructura se forma a través de una combinación de creencias y valores sostenidos por sus miembros y se imagina colectivamente. Los elementos que se describirán provienen del libro comportamiento organizacional, escrito por Robbins(10).
|
Tabla 1. Elementos de la cultura organizativa |
|
|
Elementos de la cultura organizativa |
|
|
Orientado al resultado |
Actitud gerencial, cuyas decisiones están encaminadas a lograr resultados en el menor tiempo posible |
|
Orientado a la gente |
En qué medida la dirección considera la importancia del talento en la organización |
|
Orientado a los equipos |
En el desempeño de las actividades está organizado por equipos de trabajo que trabajan juntos para lograr resultados |
|
Dinamismo |
El nivel de actividad y competitividad laboral que muestran las personas |
|
Estabilidad |
La medida en que la organización se esfuerza por proporcionar a sus empleados estabilidad laboral |
|
Innovación y toma de riesgos |
En medida se anima a los empleados a ser innovadores y asumir riesgos. |
|
Atención a los detalles |
El grado en que las personas quieren demostrar precisión, análisis y atención al detalle |
En este sentido, los elementos de la cultura organizativa son los componentes fundamentales que conforman la identidad y los valores de la cooperativa, además de permitirle establecer una identidad única, alinear a los empleados en torno a metas y objetivos comunes, orientarse al cliente, guiar la toma de decisiones, adaptarse al cambio y atraer y retener el talento.
Clasificación de la cultura organizativa
Robbins(9) clasifica la cultura en: cultura fuerte y débil, con una cultura fuerte, los miembros compartirán una misión y valores fuertes, esto significa que las personas que están inmersas en la organización están comprometidas y comparten valores creando una cultura más fuerte y un ambiente con amplios dominios de comportamiento.
Una organización con una cultura débil mostraría poca claridad de valores, incapacidad para establecer una dirección organizativa y tendencia a desaparecer, por lo que se deben promover los valores de forma que sean compartidos a diferentes niveles para poder permanecer en el mercado.(11)
|
Tabla 2. Culturas fuertes frente a culturas débiles |
|
|
Culturas fuertes |
Culturas débiles |
|
Valores ampliamente compartidos |
Los valores están seleccionados, normalmente a la alta dirección |
|
La cultura transmite un mensaje coherente sobre lo que es importante |
La cultura envía mensajes contradictorios sobre lo que es importante |
|
La mayoría de los empleados pueden contar la historia de la empresa o la de un personaje |
Los empleados no saben mucho sobre la historia o los personajes de la empresa |
|
Los empleados se identifican plenamente con esta cultura |
Los empleados rara vez se identifican con la cultura |
|
Existe una fuerte correlación entre los valores compartidos y el comportamiento |
Existe poca correlación entre los valores compartidos y el comportamiento |
MÉTODO
Enfoque de investigación
El método cuantitativo utiliza la recolección y el análisis de datos para responder preguntas de investigación y probar hipótesis con base en la medición numérica y el análisis estadístico para establecer patrones de comportamiento.(12)
En este contexto, se utilizará el tipo de investigación cuantitativa porque la investigación se basa en la recogida y el análisis de datos numéricos y cuantificables, además, este enfoque pretende medir y cuantificar variables, establecer relaciones causales y generalizar los resultados obtenidos en la cooperativa Sumak Samy.
Investigación bibliográfica
La investigación bibliográfica es una técnica que consiste en la selección y recopilación de información mediante la lectura y crítica de documentos y materiales bibliográficos procedentes de bibliotecas, hemerotecas y centros de documentación e información.(13)
Asimismo, para fortalecer la fundamentación teórica del proyecto, se utilizó una investigación bibliográfica a través de una recopilación de información en libros, revistas, periódicos e informes relacionados con el tema principal de la investigación, así como recursos en línea como repositorios universitarios, sitios web, blogs y bases de datos bibliográficas.
Alcance de investigación
En este contexto, a efectos del estudio, se utilizará el diseño transversal no experimental, ya que se recogerán datos en un momento determinado sin intervenir en el entorno en el que opera la cooperativa de ahorro y crédito Sumak Samy, por lo que no habrá manipulación de variables.
Método de investigación (Deductivo)
Según Barchini(14) consiste en extraer razonamientos lógicos de los enunciados ya dados, en definitiva, este método va de la causa al efecto, de lo general a lo particular teórico; verifica su validez basándose en datos numéricos precisos.
A través de este método es posible pasar de resultados particulares a conclusiones generales, de ahí que en la investigación el razonamiento objetivo de los temas permita deducir la aportación que pueden generar a la cooperativa Sumak Samy.
Técnica de investigación (Encuesta)
Como técnica de investigación se utilizó la encuesta. Según Gómez I(3) la encuesta es un procedimiento que permite obtener datos de una forma más sistemática que posibilita el registro detallado de datos a través de un sistema de preguntas.
Por lo tanto, para esta investigación se desarrollará la técnica de la encuesta como técnica de recolección de información, la cual se realizará a los empleados y directivos del COAC SUMAK SAMY LTDA. La encuesta se orientó a establecer los objetivos específicos, con el fin de corroborar la evidencia de la existencia del problema.
Instrumento de investigación (Cuestionario)
Es un conjunto de preguntas presentadas y enumeradas en una tabla y una serie de posibles respuestas, además las preguntas deben ser formuladas de manera sencilla, permitiendo al encuestado responder en el menor tiempo posible. Por este motivo, el cuestionario se codifica mediante una escala de Likert que va de 1 a 5, en la que las preguntas se formularon con un lenguaje acorde con las características de la muestra. Mediante la aplicación de la escala Likert, se permite a los participantes expresar su grado de acuerdo o desacuerdo con cada afirmación, lo que proporciona datos cuantitativos para el análisis.(15) Para medir la cultura organizacional utilizamos el modelo e instrumento del autor Fondas(16) este cuestionario se refiere a un modelo para evaluar y diagnosticar la cultura dentro de una organización. Las dimensiones del cuestionario de Denison suelen centrarse en cuatro áreas principales:
· Participación.
· Coherencia.
· Adaptabilidad.
· Misión.
Una vez recopilada y analizada la información, es posible obtener una visión más clara de las deficiencias de la cultura organizativa que podrían estar afectando al comportamiento innovador de los empleados y directivos de COAC SUMAK SAMY LTDA. Esto permitirá a la empresa identificar áreas de mejora y desarrollar estrategias para fomentar una cultura que favorezca la innovación y el crecimiento.
Unidad de estudio
La unidad de estudio fueron 20 personas, que representan el número total de empleados de la cooperativa de ahorro y crédito Sumak Samy.
Plan de recolección de datos
El plan de recogida de datos para la investigación en el COAC SUMAK SAMY LTDA consistirá en aplicar el cuestionario Denison a empleados y directivos. Se utilizará una escala Likert de 1 a 5 para medir las dimensiones de la cultura organizacional relacionadas con el comportamiento innovador. La administración del cuestionario se realizará electrónicamente a través de Google Form, garantizando la confidencialidad y el anonimato de las respuestas. Los datos se recopilarán en una base de datos y, posteriormente, se realizará un análisis estadístico para identificar las deficiencias culturales que afectan a la innovación en la organización.
Procesamiento y análisis de datos
Para procesar los datos se utilizará el programa informático SPSS, versión 25, de IBM, que permite realizar análisis estadísticos avanzados, como estadística descriptiva, análisis factorial, representación gráfica de los datos y correlación de las variables.
RESULTADOS
Análisis de Confiabilidad
Para la correlación de las variables se aplicará el coeficiente alfa de Cronbach, que es una medida de fiabilidad utilizada para evaluar la consistencia interna de un cuestionario escalado, como el cuestionario de Denison que se aplicará para medir la cultura organizativa y el cuestionario de Janssen para medir el comportamiento innovador.
El coeficiente alfa de Cronbach evalúa el grado de correlación entre las preguntas (ítems) de cada dimensión del cuestionario, es decir, mide la coherencia y homogeneidad del conjunto de ítems. Un valor alfa elevado (generalmente cercano a 1) indica una mayor coherencia interna, lo que significa que las preguntas miden de forma fiable la misma variable subyacente. Una vez recopilado el conjunto de respuestas al cuestionario, se calculará el coeficiente alfa de Cronbach para cada dimensión (por ejemplo, para la dimensión «Implicación» o «Adaptabilidad»). Si se obtienen valores alfa elevados, se reforzará la fiabilidad de las mediciones y se obtendrá una mayor confianza en los resultados de la investigación al correlacionar el comportamiento innovador y la cultura organizativa.
Para calcular la fiabilidad de las variables, se aplicará el coeficiente alfa de Cronbach a partir de los datos obtenidos de la escala de medición de Likert aplicada al personal de la cooperativa. El coeficiente alfa es una medida de fiabilidad que evalúa la consistencia interna de un conjunto de ítems o preguntas utilizadas para medir una variable latente (por ejemplo, una característica, actitud o habilidad).
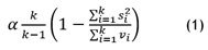
Calcular la varianza total de las puntuaciones de todos los ítems sumando las varianzas de cada ítem y el doble del producto de las covarianzas de todos los pares de ítems mediante la siguiente fórmula para calcular el coeficiente alfa de Cronbach:
Ecuación:
![]()
Donde:
· k = es el número de ítems del cuestionario.
· S 2/i = es la varianza de las puntuaciones del ítem i.
· vi = es la varianza total de las puntuaciones del ítem i.
Para calcular la fiabilidad del coeficiente alfa de Cronbach, se recogieron las varianzas de las puntuaciones de cada ítem del cuestionario de la variable cultura organizativa, la varianza total y, a continuación, se aplicó la fórmula del coeficiente alfa. Los resultados se presentan a continuación:
Pasos para calcular el coeficiente alfa de Cronbach para la Variable 1: Participación, Coherencia, Adaptabilidad, Misión:
Promedio de las sumas de cada dimensión:
· Participación: 51,9
· Consistencia: 50,0
· Adaptabilidad: 52,2
· Misión: 53,6
Varianza de las sumas de cada dimensión:
· Participación: 26,489
· Consistencia: 10,889
· Adaptabilidad: 13,422
· Misión: 14,089
Varianza total de las sumas de las dimensiones: 218,889
Ecuación:

El coeficiente alfa de Cronbach para la variable de cultura organizativa es de aproximadamente 0,73.
Calcular el coeficiente alfa de Cronbach para el comportamiento innovador: generación de ideas, promoción de ideas, realización de ideas.
Resultados de la variable de comportamiento innovador;
Media de las sumas de cada dimensión:
· Generación de ideas: 10,65
· Promoción de ideas: 10,95
· Realización de ideas: 10,0
Varianza de las sumas de cada dimensión:
· Generación de ideas: 4,298
· Promoción de ideas: 5,658
· Realización de ideas: 5,7
Varianza total de las sumas de las dimensiones: 55,556
Ecuación:

El coeficiente alfa de Cronbach para la variable de comportamiento innovador es de aproximadamente 0,69. Así pues, los coeficientes alfa de Cronbach para las dos variables son aproximadamente 0,73 y 0,69, respectivamente. Estos valores indican que ambas escalas tienen una buena consistencia interna, lo que sugiere que las preguntas de cada dimensión están adecuadamente correlacionadas y miden con fiabilidad el constructo que pretenden evaluar. Un valor alfa de 0,7 o superior se considera aceptable para la mayoría de los fines.
Los resultados indican que ambas escalas tienen una consistencia interna aceptable, lo que significa que las preguntas de cada dimensión están adecuadamente relacionadas y miden de forma fiable los constructos que pretenden evaluar. Sin embargo, siempre es importante tener en cuenta que el coeficiente alfa de Cronbach es sólo una medida de la consistencia interna y no evalúa otros aspectos de la calidad de una escala, como su validez o sensibilidad.
Análisis descriptivo cultura organizacional
Para medir el nivel de cultura organizacional y comportamiento innovador, se utilizó una herramienta estadística para agrupar los resultados obtenidos a través del algoritmo SPSS, que especifica los cálculos necesarios en tres niveles (bajo, medio y alto), determinando así el nivel de cada una de las variables y dimensiones.
|
Tabla 3. Tareas en relación con los objetivos planteados |
|||||
|
|
Frecuencia |
Porcentaje |
Porcentaje valido |
Porcentaje acumulado |
|
|
Válido |
Bajo |
5 |
25,0 |
25,0 |
25,0 |
|
Medio |
10 |
50,0 |
50,0 |
75,0 |
|
|
Bajo |
5 |
25,0 |
25,0 |
100,0 |
|
|
Total |
20 |
100,0 |
100,0 |
|
|
Interpretación: en la siguiente gráfica se puede observar que el total de los colaboradores fueron encuestados para los siguientes constructos: participación, congruencia, adaptabilidad y misión, ellos afirman con un 50 % que existe una cultura de nivel medio, un 25 % expresan que existe un nivel alto y con un 25 % indican que existe un nivel bajo, por lo tanto, la cooperativa Sumak Samy cuenta con una cultura organizacional equilibrada.
Participación
|
Tabla 4. Participación |
|||||
|
|
Frecuencia |
Porcentaje |
Porcentaje valido |
Porcentaje acumulado |
|
|
Válido |
Bajo |
9 |
45,0 |
45,0 |
45,0 |
|
Medio |
7 |
35,0 |
35,0 |
80,0 |
|
|
Alto |
4 |
20,0 |
20,0 |
100,0 |
|
|
Total |
20 |
100,0 |
100,0 |
|
|
Interpretación: n la siguiente tabla se puede observar que el total de colaboradores fueron encuestados de acuerdo a los siguientes sub constructos: empoderamiento, trabajo en equipo y desarrollo de capacidades, afirmando así con un 45 % que existe un nivel bajo de participación, un 35 % expresa que existe un nivel medio y con un 20 % indica que existe un nivel alto, por lo tanto, la cooperativa Sumak Samy tiene un nivel bajo de participación en la dimensión participación.
Consistencia
|
Tabla 5. Consistencia |
|||||
|
|
Frecuencia |
Porcentaje |
Porcentaje valido |
Porcentaje acumulado |
|
|
Válido |
Bajo |
13 |
65,0 |
65,0 |
65,0 |
|
Medio |
1 |
5,0 |
5,0 |
70,0 |
|
|
Alto |
6 |
30,0 |
30,0 |
100,0 |
|
|
Total |
20 |
100,0 |
100,0 |
|
|
Interpretación: en la siguiente tabla se puede observar que el total de colaboradores fueron encuestados de acuerdo a los siguientes sub constructos: valores, acuerdos y coordinación e integración, afirmando así con un 65 % que existe una dimensión de nivel bajo, un 30 % expresa que existe un nivel alto y con un 20 % indica, por lo tanto, la cooperativa Sumak Samy tiene un nivel bajo en la dimensión de consistencia.
Adaptabilidad
|
Tabla 6. Adaptabilidad |
|||||
|
|
Frecuencia |
Porcentaje |
Porcentaje valido |
Porcentaje acumulado |
|
|
Válido |
Bajo |
12 |
60,0 |
60,0 |
60,0 |
|
Medio |
8 |
40,0 |
40,0 |
100,0 |
|
|
Total |
20 |
100,0 |
100,0 |
|
|
Interpretación: en la siguiente tabla se puede observar que el total de colaboradores fueron encuestados de acuerdo a los siguientes subconstructos: orientación al cambio, orientación al cliente y aprendizaje organizacional, afirmando así con un 60 % que existe una dimensión de bajo nivel y con un 40 % expresando que existe, por lo tanto, la cooperativa Sumak Samy posee un bajo nivel en la dimensión adaptabilidad.
Misión
|
Tabla 7. Misión |
|||||
|
|
Frecuencia |
Porcentaje |
Porcentaje valido |
Porcentaje acumulado |
|
|
Válido |
Bajo |
6 |
30,0 |
30,0 |
30,0 |
|
Medio |
8 |
40,0 |
40,0 |
70,0 |
|
|
Alto |
6 |
30,0 |
30,0 |
100,0 |
|
|
Total |
20 |
100,0 |
100,0 |
|
|
Interpretación: de acuerdo con los resultados obtenidos en la tabla se puede observar que el total colaboradores fueron encuestados de acuerdo a los siguientes sub constructos: dirección y propósitos estratégicos, metas y objetivos y visión, afirman con un 40 % que existe una dimensión de nivel medio, el 30 % expresa que existe un nivel bajo y con el 30 % señala que existe un nivel alto, por ende, la cooperativa Sumak Samy a nivel de la dimensión de misión presenta un nivel medio.
Análisis descriptivo comportamiento innovador
|
Tabla 8. Comportamiento innovador |
|||||
|
|
Frecuencia |
Porcentaje |
Porcentaje valido |
Porcentaje acumulado |
|
|
Válido |
Bajo |
6 |
30,0 |
30,0 |
30,0 |
|
Medio |
11 |
55,0 |
55,0 |
85,0 |
|
|
Alto |
3 |
15,0 |
15,0 |
100,0 |
|
|
Total |
20 |
100,0 |
100,0 |
|
|
Interpretación: en la siguiente gráfica se puede observar que el total colaboradores fueron encuestados por los siguientes constructos: generación de ideas, promoción de ideas y realización de ideas, afirman con un 55 % que existe una innovación a nivel medio, el 30 % expresa que existe un nivel bajo y con el 15 % señala que existe un nivel alto, por ende, la cooperativa Sumak Samy tiene un comportamiento equilibrado.
Generación de ideas
|
Tabla 9. Generación de ideas |
|||||
|
|
Frecuencia |
Porcentaje |
Porcentaje valido |
Porcentaje acumulado |
|
|
Válido |
Bajo |
11 |
55,0 |
55,0 |
55,0 |
|
Medio |
7 |
35,0 |
35,0 |
90,0 |
|
|
Alto |
2 |
10,0 |
10,0 |
100,0 |
|
|
Total |
20 |
100,0 |
100,0 |
|
|
Interpretación: de acuerdo con los resultados obtenidos de las encuestas realizadas a los colaboradores de la cooperativa Sumak Samy, el 55 % considera que la capacidad de los empleados para buscar nuevas formas de abordar problemas o realizar mejoras en los métodos, técnicas o procesos de trabajo es baja. Además, el 35 % de los colaboradores considera que dicha variable se encuentra en un nivel regular, mientras que el 10 % indicó que se encuentra en una escala de nivel alto.
Promoción de ideas
|
Tabla 10. Promoción de ideas |
|||||
|
|
Frecuencia |
Porcentaje |
Porcentaje valido |
Porcentaje acumulado |
|
|
Válido |
Bajo |
4 |
20,0 |
20,0 |
20,0 |
|
Medio |
9 |
45,0 |
45,0 |
65,0 |
|
|
Alto |
7 |
35,0 |
35,0 |
100,0 |
|
|
Total |
20 |
100,0 |
100,0 |
|
|
Interpretación: de acuerdo con los resultados obtenidos de las encuestas realizadas a los colaboradores de la cooperativa, el 45 % considera capacidad para promover y obtener apoyo para sus ideas innovadoras dentro de la organización media o regular. Además, el 35 % de los colaboradores considera que dicha variable se encuentra en un nivel alto en la organización, mientas que el 20 % indicó que se encuentra en una escala de nivel bajo.
Realización de ideas
|
Tabla 11. Realización de ideas |
|||||
|
|
Frecuencia |
Porcentaje |
Porcentaje valido |
Porcentaje acumulado |
|
|
Válido |
Bajo |
15 |
75,0 |
75,0 |
75,0 |
|
Medio |
4 |
20,0 |
20,0 |
95,0 |
|
|
Alto |
1 |
5,0 |
5,0 |
100,0 |
|
|
Total |
20 |
100,0 |
100,0 |
|
|
Interpretación: de acuerdo con los resultados obtenidos de las encuestas realizadas a los colaboradores de la cooperativa Sumak Samy, el 75 % considera que la capacidad de los empleados para implementar y llevar a cabo las ideas innovadoras que generan en el entorno laboral es baja. Además, el 20 % de los colaboradores considera que dicha variable se encuentra en un nivel regular, mientras que el 5 % indicó que se encuentra en una escala de nivel alto.
CONCLUSIONES
La cultura organizativa es un elemento clave que tiene la capacidad de influir en el comportamiento innovador de los empleados porque establece normas, valores y creencias que promueven la generación de nuevas ideas y la aplicación de soluciones innovadoras. Una cultura que fomente la innovación y proporcione el apoyo necesario puede influir positivamente en el comportamiento innovador de los empleados del COAC Sumak Samy.
Con base en la aplicación de la metodología de investigación cuantitativa y los resultados obtenidos del cuestionario aplicado a los colaboradores de la cooperativa Sumak Samy, resultó que la cultura organizacional influye significativamente en el comportamiento innovador de los colaboradores con una correlación de 0, 652 con un nivel de significancia de 0. 02, por lo que se rechaza H2 y se acepta H1, ya que la correlación de las variables incide en la innovación y capacidad de generar nuevas ideas, debido a que la cooperativa Sumak Samy presenta un nivel medio en lo que se refiere a la cultura organizacional, por lo tanto, incide en el logro y consecución de los objetivos organizacionales.
La cultura organizativa es un problema que afecta tanto a los empleados como a las organizaciones en términos de innovación. Sin embargo, existen estrategias eficaces tanto a nivel individual como organizativo para gestionar un buen nivel de C.O. y minimizar sus consecuencias negativas. Es decir, si la cooperativa mantiene una buena C.O. permitirá tener una mejor relación interpersonal con los colaboradores, fomentar una buena comunicación y proporcionar apoyo a quienes forman parte de la organización de tal manera que pueda contribuir a mejorar la generación, realización y promoción de nuevas ideas. Esto permitirá a la cooperativa mantener un nivel competitivo en el sector financiero.
REFERENCIAS BIBLIOGRÁFICAS
1. Robles-León P, Alabart-Pino Y, Rodríguez-Caguana TH. La cultura organizacional y su influencia en el comportamiento innovador de la Empresa Pública de Parques Urbanos y Espacios Públicos de la provincia del Guayas. Comhumanitas [Internet]. 2016;7(2):76–91. Available from: https://www.comhumanitas.org/index.php/comhumanitas/article/view/Robles
2. Freire PS. La cultura organizacional y su influencia en el comportamiento innovador del Hospital General II de Libertad de la ciudad de Guayaquil. [Internet]. Tesis de Postgrado, Guayaquil, Ecuador. Universidad Tecnológica Empresarial de Guayaquil, 2015. Disponible en: http://biblioteca.uteg.edu.ec/xmlui/handle/123456789/399
3. Gómez I. Innovación y Cultura Organizacional. [Internet]. Tesis Doctoral. Madrid, España. Universidad Nacional de Educación a Distancia, UNED. 2014. Disponible en: https://e-spacio.uned.es/entities/publication/5b4f92c0-ae5f-4d7d-b11f-4698002f7f0b
4. Ruiz EJ. La cultura organizacional y su influencia en el comportamiento innovador del Servicio Nacional de Aduana del Ecuador. [Internet]. Tesis de Posgrado. Guayaquil, Ecuador. Universidad Tecnológica Empresarial de Guayaquil. 2016. Disponible en: http://biblioteca.uteg.edu.ec/xmlui/handle/123456789/313
5. De Araujo N. Cultura organizacional e innovación: una revisión de la literatura. [Internet]. Bachelor´s Tesis. Medellín, Colombia. Universidad EAFIT. 2020. Disponible en: http://hdl.handle.net/10784/16043
6. Chiavenato, I, Sacristán PM. Comportamiento organizacional: la dinámica del éxito en las organizaciones. [Internet]. 2nd ed. Monterrey, México. McGraw Hill, 2009. Disponible en: https://books.google.com.ec/books?id=kmFOtwAACAAJ
7. Wulandari D, Prayitno PH, Basuki A, Prasetyo AR, Aulia F, Gunawan A, et al. Technological Innovation to Increase the Competitiveness of MSMEs: Implementation of the Integrated Industry Village 4.0 Platform. Salud, Ciencia y Tecnología. 2024;4:1220.
8. Barba-Miranda LC, Gómez-Rivero JO. Reflection and pedagogical contextualization in the development of innovative educational practices. Salud, Ciencia y Tecnología. 2024; 4:896.
9. Aurazo Chuque D. Influencia del liderazgo en la cultura organizacional de una institución financiera pública, Chiclayo 2020. [Internet]. Tesis de Maestría. Chiclayo, Perú. Universidad Católica Santo Toribio de Mogrovejo. 2020. Disponible en: https://tesis.usat.edu.pe/handle/20.500.12423/2978
10. Robbins SP, Judge TA. Comportamiento organizacional. [Internet]. 13nd ed. Monterrey México; Pearson Ed, 2009. Disponible en: https://ia801908.us.archive.org/34/items/comportamiento-organizacional-13e-robbins-judge/Comportamiento%20Organizacional%2013e%20Robbins%20&%20Judge.pdf
11. Robbins SP, Ayala LEP, Judge TA. Comportamiento organizacional. [Internet]. 15nd ed. Monterrey México; Pearson Ed, 2013. Disponible en: https://books.google.com.ec/books?id=LdVBngEACAAJ
12. Hernández-Sampieri R, Mendoza CP. Metodología de la investigación. Las rutas cuantitativa, cualitativa y mixta. [Internet]. 1era ed. México. Ed. Mc Graw Hill Education, 2018.
13. Baena Paz G. Metodología de la Investigación. [Internet]. 3era ed. México. Grupo Editorial Patria, 2017. Disponible en: http://www.editorialpatria.com.mx/pdffiles/9786074384093.pdf
14. Barchini, GE. Métodos “I + D” de la Informática. Revista de Informática Educativa y Medios Audiovisuales. [Internet]. 2005;2(5), 16-24. Disponible en: https://www.studocu.com/es-ar/document/universidad-nacional-de-salta/informatica/informatica-rtytrytrytry/36696362
15. Valle-Sánchez FA, Idrovo-Avecillas MJ-M, Hernández-Armendáriz M. Modelo Denison para el Planteamiento de Estrategias de Endomarketing en las Empresas SUMESA y TIA de la ciudad de Guayaquil. akadem [Internet]. 2022;(9):266–310. Available from: http://dx.doi.org/10.33324/udaakadem.v1i9.485
16. Fondas N, Denison DR. Corporate culture and organizational effectiveness. Acad Manage Rev [Internet]. 1991;16(1):203. Available from: http://dx.doi.org/10.2307/258613
FINANCIACIÓN
Ninguna financiación
CONFLICTO DE INTERÉS
No se identificaron conflictos de interés.
CONTRIBUCIÓN DE AUTORÍA
Conceptualización: Yadira Paola Borja Brazales, Vladimir Marconi Ortiz Bustamante, Nelson Wilfrido Guagchinga Chicaiza, Margarita Nataly Cadena Castillo.
Investigación: Yadira Paola Borja Brazales, Vladimir Marconi Ortiz Bustamante, Nelson Wilfrido Guagchinga Chicaiza, Margarita Nataly Cadena Castillo.
Metodología: Yadira Paola Borja Brazales, Vladimir Marconi Ortiz Bustamante, Nelson Wilfrido Guagchinga Chicaiza, Margarita Nataly Cadena Castillo.
Administración del proyecto: Yadira Paola Borja Brazales, Vladimir Marconi Ortiz Bustamante, Nelson Wilfrido Guagchinga Chicaiza, Margarita Nataly Cadena Castillo.
Redacción – borrador original: Yadira Paola Borja Brazales, Vladimir Marconi Ortiz Bustamante, Nelson Wilfrido Guagchinga Chicaiza, Margarita Nataly Cadena Castillo.
Redacción – revisión y edición: Yadira Paola Borja Brazales, Vladimir Marconi Ortiz Bustamante, Nelson Wilfrido Guagchinga Chicaiza, Margarita Nataly Cadena Castillo.