doi: 10.56294/dm2024.450
ORIGINAL
Predictive Model for School Dropout in Chimborazo Province, Ecuador
Modelo de predicción de abandono escolar en la provincia de Chimborazo – Ecuador
Esteban Castillo1
*, Lidia Castro2
*
1Universidad Nacional de Chimborazo, Escuela de Posgrados. Riobamba, Ecuador.
2Universidad Nacional de Chimborazo, Facultad de Ingeniería. Riobamba, Ecuador.
Citar como: Castillo E, Castro L. Predictive Model for School Dropout in Chimborazo Province, Ecuador. Data and Metadata. 2024; 3:.450. https://doi.org/10.56294/dm2024.450
Enviado: 25-02-2024 Revisado: 22-06-2024 Aceptado: 15-12-2024 Publicado: 16-12-2024
Editor: Adrián
Alejandro Vitón-Castillo ![]()
Autor para la correspondencia: Esteban Castillo *
ABSTRACT
Introduction: school dropout is a complex problem influenced by various factors, including disparities in educational quality, inadequate infrastructure, and adverse socio-cultural conditions. This phenomenon negatively impacts the social and economic development of the country. Despite the recent decrease in dropout rates in Ecuador, the problem remains significant.
Objective: to develop predictive models, including linear regression and generalized linear models in R-studio, to forecast dropout rates and identify significant institutional and demographic factors.
Method: a quantitative approach was adopted to analyze data from the Ecuadorian Ministry of Education for the periods 2009-2010 to 2023-2024. Data on enrollments, approvals, non-approvals, and dropouts were reviewed using descriptive statistics and correlation analysis.
Results: the results showed a decrease in dropout rates starting from the 2013-2014 academic year, although with significant fluctuations. Higher dropout rates were identified in public institutions and rural areas in the Sierra region, specifically in public institutions in Chimborazo province, accounting for 97,47 % of the total dropouts, in contrast to students from the Coastal región. Additionally, a p-value of 0,073 was obtained in the linear models, so the null hypothesis was not rejected, suggesting that the residuals are approximately normal.
Conclusions: the predictive models (LM and GLM) effectively estimated dropout rates in Chimborazo, with the GLM showing a slightly better fit. The type of institution and geographic location were significantly associated with dropout rates, highlighting the need for interventions targeting public institutions and rural areas. Strategies to reduce dropout rates should focus on improving conditions in these specific areas.
Keywords: School Dropout; Predictive Models; Educational Policies; Institutional Factors.
RESUMEN
Introducción: el abandono escolar es un problema complejo en el que influyen diversos factores, como las disparidades en la calidad de la educación, las infraestructuras inadecuadas y las condiciones socioculturales adversas. Este fenómeno impacta negativamente en el desarrollo social y económico del país. A pesar de la reciente disminución de las tasas de deserción escolar en Ecuador, el problema sigue siendo significativo.
Objetivo: desarrollar modelos predictivos, incluyendo regresión lineal y modelos lineales generalizados en R-studio, para pronosticar las tasas de deserción e identificar factores institucionales y demográficos significativos.
Método: se adoptó un enfoque cuantitativo para analizar datos del Ministerio de Educación ecuatoriano para los períodos 2009-2010 a 2023-2024. Se revisaron los datos de matrículas, aprobados, no aprobados y deserción mediante estadística descriptiva y análisis de correlación.
Resultados: los resultados mostraron una disminución de las tasas de deserción a partir del año académico 2013-2014, aunque con fluctuaciones significativas. Se identificaron mayores tasas de deserción en instituciones públicas y zonas rurales de la región Sierra, específicamente en instituciones públicas de la provincia de Chimborazo, representando el 97,47 % de la deserción total, en contraste con los estudiantes de la región Costa. Adicionalmente, se obtuvo un p-valor de 0,073 en los modelos lineales, por lo que no se rechazó la hipótesis nula, sugiriendo que los residuales son aproximadamente normales.
Conclusiones: los modelos predictivos (LM y GLM) estimaron efectivamente las tasas de deserción en Chimborazo, mostrando el GLM un ajuste ligeramente mejor. El tipo de institución y la ubicación geográfica se asociaron significativamente con las tasas de deserción, resaltando la necesidad de intervenciones dirigidas a instituciones públicas y zonas rurales. Las estrategias para reducir la deserción escolar deben centrarse en mejorar las condiciones en estas áreas específicas.
Palabras clave: Abandono Escolar; Modelos Predictivos; Políticas Educativas; Factores Institucionales.
INTRODUCCIÓN
El abandono escolar es un problema complejo, especialmente prevalente en áreas rurales y marginales, donde diversos factores, como la calidad en la educación, infraestructura inadecuada y condiciones socioculturales desfavorables, agudizan la deserción educativa.(1,2,3) Las consecuencias de este fenómeno afectan a los estudiantes en su desarrollo personal, paro también afecta el crecimiento social y económico del país. Por otra parte, las estadísticas muestran que en los últimos años ha habido una reducción significativa en la tasa de abandono escolar en Ecuador.(4)
El abandono escolar es un problema multifacético que se puede abordar desde diferentes situaciones.(5,6,7) Se señalan perspectivas de diferentes autores como: la complejidad y el constructivismo social. López Rodríguez menciona que se debe reflexionar sobre posibles explicaciones basadas en conocimientos previos y los componentes educativos, destaca la importancia de una gestión adecuada.(8) Por otra parte, para comprender las causas del abandono escolar, Sañudo Guerra, utiliza la Teoría General del Sistema, la cual considera que las causas son complejas, multi referenciales y multifactoriales mientras examina factores externos como inherentes al sistema escolar.(9) Algunos enfoques centran sus estudios dentro del sistema escolar, mientras que otros consideran que el abandono está relacionado con factores internos y/o externos a las instituciones educativas.(10)
La deserción escolar en Ecuador se ha reducido en los últimos años hasta llegar al 1,88 % en el año lectivo 2022 – 2023 según los registros administrativos del Ministerio de Educación del Ecuador (MINEDUC) siendo una de las tasas más bajas en los últimos 15 años.(11) Sin embargo, este porcentaje representa aproximadamente 78 000 estudiantes que han abandonado sus estudios debido a diferentes factores. La tasa más alta registrada por el MINEDUC data del ciclo escolar 2011 – 2012 con un 5,61 %, lo que demuestra que las políticas públicas han funcionado parcialmente.
En Ecuador, según la página oficial del MINEDUC, el presupuesto asignado para educación en el 2023 fue de 3330,69 millones de dólares, equivalente a 5,7 % del Producto Interno Bruto (PIB)(11), Esto quiere decir que cada estudiante que abandona sus estudios le cuesta al estado un aproximado de 795 dólares al año. El total de abandonos escolares en el ciclo 2022 – 2023 al estado le costó más de 62 millones de dólares. Entonces, los modelos de predicción no solo permiten saber cuántos estudiantes están en riesgo de abandonar sus estudios, sino también cuanto le cuesta al estado.
La importancia del desarrollo de modelos de predicción permite identificar anticipadamente a estudiantes en riesgo de deserción educativa, estos son útiles para aplicar estrategias, intervenciones tempranas y efectivas.(12) Por otra parte, se pueden implementar políticas públicas las cuales van dirigidas a mejorar la equidad educativa mientras se fomentan entornos inclusivos.(13,14) Además, los responsables de políticas educativas públicas pueden utilizar estos modelos focalizar recursos en las zonas con mayor índice de deserción, para optimizar así la inversión.
Hernández y Montes presentan un modelo predictivo de riesgo de abandono que asocia la deserción principalmente con el bajo rendimiento académico.(15) Dicho rendimiento se lo relaciona principalmente con la autorregulación y estilos de aprendizaje y los hábitos de estudio.(16,17,18) Según su investigación, se plantea la necesidad de implementar intervenciones efectivas que mejoren el rendimiento académico, en consecuencia, se reduzca la tasa de deserción y abandono escolar.
El objetivo de esta investigación es aplicar un modelo de predicción que permita determinar la tasa de abandono escolar en educación media en la provincia de Chimborazo. Identificar factores institucionales y demográficos que se asocian con este tipo de problemática para el estado.
MÉTODO
Para el diseño de la investigación se empleó un enfoque cuantitativo de tipo descriptivo correlacional diseñado para analizar patrones y correlaciones entre variables que afectan el abandono escolar. El universo de estudio proporcionado por la base de datos abiertos del MINEDUC, es decir 59 298 600 estudiantes matriculados durante los años analizados, obteniendo de esta manera una muestra de 1 793 986 estudiantes pertenecientes a la provincia de Chimborazo.
El registro administrativo de datos abiertos del MINEDUC proporciona datos relevantes para la investigación, los mismos que incluyen: número y tasa de estudiantes matriculados, promovidos y en abandono escolar; clasificación de estudiantes por género, identificación étnica, nacionalidad, condición de discapacidad, nivel educativo; además, datos institucionales como régimen escolar, sostenimiento, tipo de educación, zona urbana o rural, entre otros datos importantes. Las variables procesadas y analizadas fueron: número de estudiantes matriculados, sector (urbano y rural), provincia, cantón. Además, se analizaron datos institucionales como: sostenimiento (fiscal, fiscomisional, municipal y particular), régimen escolar (sierra, costa). Datos globales como: tasa de promoción, tasa de no promoción, y tasa de abandono.
Para el análisis de los datos, se utilizó estadística descriptiva mediante la presentación de datos, y su posterior representación gráfica. Además, estadísticas inferenciales como la regresión logística y análisis de correlación.(19) Se trabajó con minería de datos para extraer patrones predictivos y descriptivos para estimar valores futuros o desconocidos, e identificar patrones que explican o resumen los mismos.(20) En este sentido, se pueden desarrollar modelos de predicción para predecir tasas de deserción, rendimiento académico o necesidades de inversión.
Para el análisis del modelo de predicción se utilizó el software R, debido a su capacidad para manejar análisis estadísticos complejos y sus herramientas para el manejo de datos. Se aplicaron los modelos Modelo de regresión lineal simple (LM) y Modelos Lineales Generalizados (GLM) que es una clase flexible de modelos estadísticos que permiten la respuesta de la variable dependiente, es decir, comparan la variable independiente y su influencia sobre la variable dependiente de interés, a través de una función de enlace que puede manejar diversas distribuciones de error.(21) Los LM y GLM son útiles para modelar problemas de regresión y clasificación.(22) La diferencia al utilizar estos dos modelos, radica en el modo que tratan las estructuras de datos que tienen efectos aleatorios y correlacionales proporcionando una mayor flexibilidad para modelar estructuras de datos más complejas.(23)
Los datos obtenidos por los modelos LM y GLM muestran tendencias significativas similares, tomando en cuenta la variable dependiente (abandono), y la variable independiente (matriculados) en los periodos escolares entre 2009 a 2023. El modelo de regresión lineal simple que se expresa:
![]()
ŷ: es el valor estimado de la variable dependiente, es decir, el porcentaje de abandono escolar.
β0: es el intercepto o la ordenada al origen que representa el valor de y cuando x = 0. Es decir, representa el abandono escolar estimado en el primer periodo.
β1: es el coeficiente de regresión o la pendiente que indica el cambio esperado en y por cada unidad de cambio en x.
x: es la variable independiente, o el número de estudiantes matriculados.
Por otra parte, se realizó la prueba de Shapiro – Wilk o también conocida como distribución gaussiana, la cual es una técnica estadística utilizada porque tiene alta potencia estadística en comparación con otras pruebas de normalidad. Además, se compararon los modelos usando el Criterio de Información de Bayes (BIC), el cual penaliza la complejidad del modelo y ayuda a seleccionar el modelo con mejor equilibrio entre bondad de ajuste y simplicidad el valor más bajo de BIC indica un mejor modelo en términos de penalización y complejidad.
RESULTADOS
En la presente investigación, se analizó el abandono escolar influenciado por varios factores con el objetivo de determinar, mediante modelos predictivos, la tasa de abandono e identificar los factores significativos institucionales y demográficos. Los resultados expuestos constituyen una síntesis detallada de los datos obtenidos mediante los modelos de regresión lineales, aplicados a estudiantes de educación básica y media de la provincia de Chimborazo – Ecuador.
|
Tabla 1. Datos de estudiantes de la provincia de Chimborazo – Ecuador del 2009 al 2023 |
|||||
|
Período |
Matriculados |
Aprobados |
No aprobados |
Abandono |
Frecuencia porcentual de abandono (%) |
|
2009 – 2010 |
130673 |
117728 |
5897 |
5623 |
9,76 % |
|
2010 – 2011 |
133576 |
116957 |
4326 |
6103 |
10,59 % |
|
2011 – 2012 |
136940 |
124480 |
2944 |
7358 |
12,77 % |
|
2012 – 2013 |
139611 |
127525 |
2349 |
6943 |
12,05 % |
|
2013 – 2014 |
139936 |
128213 |
2379 |
5057 |
8,78 % |
|
2014 – 2015 |
139617 |
124635 |
2346 |
4378 |
7,60 % |
|
2015 – 2016 |
139668 |
126441 |
2969 |
3822 |
6,63 % |
|
2016 – 2017 |
135735 |
121564 |
3411 |
4077 |
7,08 % |
|
2017 – 2018 |
131686 |
123311 |
3600 |
2772 |
4,81 % |
|
2018 – 2019 |
128273 |
120597 |
3816 |
2507 |
4,35 % |
|
2019 – 2020 |
123908 |
121221 |
182 |
1967 |
3,41 % |
|
2020 – 2021 |
122814 |
118532 |
1219 |
1693 |
2,94 % |
|
2021 – 2022 |
120210 |
115552 |
1111 |
3085 |
5,35 % |
|
2022 – 2023 |
117599 |
110095 |
2668 |
2233 |
3,88 % |
|
Total |
1793786 |
1696851 |
39517 |
57618 |
100,00 % |
|
Fuente: Base de datos del Ministerio de Educación |
|||||
En la tabla 1, se observa una tendencia decreciente del abandono escolar a partir del año lectivo 2013 – 2014, lo que sugiere una posible mejora con los factores relacionados con la permanencia estudiantil. Estos datos se correlacionaron con el número de estudiantes matriculados en cada período escolar, lo cual permitió calcular indicadores clave como el porcentaje de abandono y su desviación estándar.
Por otra parte, desde el período 2009 – 2010 hasta el 2013 – 2014, el número de abandonos muestra una tendencia general al alza, alcanzando un pico en el 2011 – 2012 con el 12,77 % de abandonos. Sin embargo, para el período se puede apreciar una reducción al 2,94 %, el menor los períodos analizados. La tasa de abandono en el sistema educativo ha mostrado fluctuaciones a lo largo de los años lo que demuestra desafíos persistentes que necesitan ser abordados.
Entonces, la ecuación lineal de abandono en función de los estudiantes matriculados queda definida por:
![]()

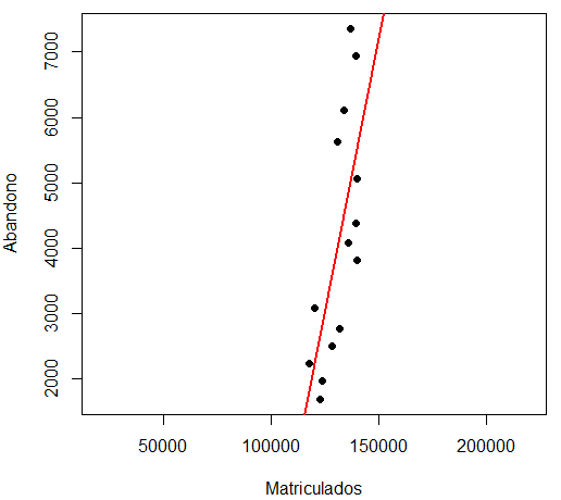
Figura 1. Diagrama de dispersión. Abandono escolar con relación a estudiantes matriculados

Figura 2. Diagrama de dispersión con recta ajustada
La figura 1 muestra el diagrama de dispersión de abandono escolar en función de los estudiantes matriculados. La figura 2 permite apreciar el diagrama de dispersión con recta ajustada. La gráfica de dispersión muestra una relación positiva entre el número de matriculados y el número de abandonos, es decir, mientras aumenta la variable independiente (x) aumenta la variable dependiente (ŷ). Al agregar una recta ajustada, se refuerza la interpretación de una relación lineal. En promedio, un incremento en el número de estudiantes matriculados acrecienta los abandonos. También se puede observar que la pendiente de la recta es pronunciada lo que sugiere que el abandono es significativo.
|
Tabla 2. Predicción LM – GLM de abandono escolar en la provincia de Chimborazo |
||||||
|
Matriculados |
Predicción LM |
Predicción GLM |
||||
|
Fit |
Lwr |
Upr |
Fit |
Lwr |
Upr |
|
|
106 000 |
-125,9932 |
-4315,188 |
4063,202 |
-125,9932 |
-2715,745 |
2463,759 |
|
108 000 |
207,3826 |
-3842,012 |
4256,777 |
207,3826 |
-2195,701 |
2610,466 |
|
110 000 |
540,7585 |
-3375,881 |
4457,398 |
540,7585 |
-1677,136 |
2758,652 |
|
112 000 |
874,1343 |
-2917,535 |
4665,804 |
874,1343 |
-1160,453 |
2908,722 |
|
114 000 |
1207,5101 |
-2467,770 |
4882,790 |
1207,5101 |
-646,2134 |
3061,234 |
|
116 000 |
1540,8860 |
-2027,424 |
5109,196 |
1540,8860 |
-135,2060 |
3216,978 |
|
118 000 |
1874,2618 |
-1597,369 |
5345,892 |
1874,2618 |
371,4221 |
3377,102 |
La tabla 2 muestra los intervalos de confianza y de predicción generados para un número de estudiantes comprendidos en el rango de matriculados en los períodos analizados, lo cual permite estimar el número de abandono esperado y su rango de variabilidad, en donde, el valor predicho más probable (Fit), contrasta información con el valor más bajo esperado (Lwr) y el valor más alto (Upr). El modelo lineal predice el abandono en función de los estudiantes matriculados, cada estudiante matriculado adicional aumenta el abandono en 0,1667 unidades.
La prueba de Shapiro – Wilk de normalidad muestra un estadístico W = 0,88718 y un P= 0,07363, por lo que no se rechaza la hipótesis nula, sugiriendo que los residuos son aproximadamente normales. En este caso el valor de está por encima del lumbral de significancia, los residuos pueden considerarse normales, lo que sugiere que puede haber ligeras desviaciones en la normalidad como se muestra en la figura 3.

Figura 3. Normalidad de los resultados LM - GLM
Para la comparación entre modelos se utilizó el BIC que ayudó a seleccionar el mejor equilibrio entre bondad de ajuste y simplicidad. El valor obtenido del GLM fue igual a 5525,753, mientras que el BIC del LM fue igual a 248,2623 lo que sugiere que el modelo LM es mejor en términos de equilibrio.
Con relación a la comparación del R2 ajustado de cada modelo se puede concluir que el R2 del GLM (0,4827) es ligeramente mayor que el LM (0,4396). Esto sugiere que, el GLM explica un poco más la variabilidad en los datos del abandono en función del número de estudiantes matriculados que el modelo LM. Además, los residuos están distribuidos aleatoriamente alrededor de la línea horizontal de cero sin un patrón discernible, lo que permite interpretar la homocedasticidad de los mismos.
|
Tabla 3. Deserción en la provincia de Chimborazo. Factores institucionales y geográficos |
||||||||
|
|
Región |
Sostenimiento |
Área |
|||||
|
Período |
Sierra |
Costa |
Fiscal |
Fisco-misional |
Municipal |
Particular |
Rural |
Urbana |
|
2009 - 2010 |
5231 |
392 |
4369 |
685 |
0 |
569 |
1508 |
4115 |
|
2010 - 2011 |
5618 |
485 |
4488 |
796 |
0 |
819 |
1771 |
4332 |
|
2011 - 2012 |
6786 |
572 |
5290 |
1019 |
2 |
1047 |
2105 |
5253 |
|
2012 - 2013 |
6467 |
476 |
5048 |
1118 |
1 |
776 |
2075 |
4868 |
|
2013 - 2014 |
4727 |
330 |
3206 |
1106 |
0 |
745 |
1095 |
3962 |
|
2014 - 2015 |
4081 |
297 |
2772 |
1167 |
0 |
439 |
813 |
3565 |
|
2015 - 2016 |
3480 |
342 |
2256 |
1073 |
0 |
493 |
743 |
3079 |
|
2016 - 2017 |
3974 |
103 |
2709 |
856 |
0 |
512 |
996 |
3081 |
|
2017 - 2018 |
2611 |
161 |
1960 |
431 |
2 |
379 |
661 |
2111 |
|
2018 - 2019 |
2377 |
130 |
1668 |
555 |
0 |
284 |
504 |
2003 |
|
2019 - 2020 |
1678 |
289 |
1273 |
473 |
0 |
221 |
500 |
1467 |
|
2020 - 2021 |
1574 |
119 |
1486 |
111 |
0 |
96 |
702 |
991 |
|
2021 - 2022 |
2879 |
206 |
2573 |
418 |
0 |
94 |
938 |
2147 |
|
2022 - 2023 |
2052 |
181 |
1872 |
275 |
0 |
86 |
699 |
1534 |
|
Fuente: Base de datos del Ministerio de Educación |
||||||||
La tabla 3 muestra el número de estudiantes que han desertado desde el 2009 hasta el 2023, divididos por regiones, sostenimiento institucional, y área dentro de la provincia de Chimborazo. En la sierra, el período 2016 – 2017 alcanza 3 974 (97,47 %) abandonos, mientras que en 2020 – 2021 su punto más bajo fueron 1 574 estudiantes (85,31 %). Por otra parte. En la costa el más alto fue de 572 (14,69 %) alumnos en el período 2011 – 2012, mientras que la tasa más baja de deserción fue en 2016 – 2017 con 103 (2,53 %) estudiantes. La diferencia entre estos porcentajes radica en que la sierra registra 13 veces más estudiantes matriculados durante estos períodos.
Se analizaron datos de sostenibilidad de las instituciones, 5 290 estudiantes de planteles fiscales abandonaron la educación en el período 2011 – 2012, 1 167 estudiantes dejaron sus estudios en centros educativos fiscomisionales mientras que, el punto más alto en planteles particulares fue de 1 047 en 2011 - 2012. En cuanto a áreas, el sistema de educación rural tuvo como su tasa más alta de deserción el período 2012 – 2013 con 2 105 abandonos, mientras que en el área urbana el número más alto de deserción fue de 5 253 en el mismo período.

Figura 4. Modelo de Regresión Lineal Múltiple
La figura 4 es una matriz de gráficos dispersos o también conocida como gráfico de pares, la cual fue usada para visualizar las relaciones entre múltiples variables, es decir, muestra dispersogramas por pares de varias variables entre sí.
En el modelo de regresión lineal múltiple, las variables, sierra (P = 0,00422) y costa (P=0,02514), indicando una fuerte relación positiva con la variable dependiente. La variable fiscal también es significativa (P= 0,0024), lo que sugiere una relación positiva. Por otra parte, el modelo de regresión lineal presenta un error estándar residual de 2 692, lo que indica la magnitud promedio de los errores de predicción. El R2 múltiple de 0,9263 sugiere que el 92,63 % de la variabilidad en el número total de estudiantes es explicada por el modelo, mientras que el R2 ajustado de 0,8802 indica un ajuste ligeramente menor cuando se considera el número de predictores. El f-statistic de 20,1 y su p – valor de 0,0002436 muestran que el modelo es globalmente significativo, es decir, al menos una de las variables predictoras tiene un efecto significativo en el total de estudiantes. Los residuos corroboran los datos obtenidos anteriormente ya que presentan homocedasticidad.
DISCUSIÓN
Los datos obtenidos por el procesamiento de datos muestran una significancia relevante de abandono de estudios en educación media en áreas rurales y en instituciones con sostenimiento fiscal. La UNESCO estima que a nivel mundial 132 millones de niños no están escolarizados y estima que 88 hombres por cada 100 mujeres continúan con sus estudios.(24) Además, por la diferencia en la cantidad de estudiantes se puede evidenciar un mayor número de deserción estudiantil. En este estudio no se abordaron los factores sociales que pueden derivar en la pérdida de escolaridad. Sin embargo, se evidencian las razones institucionales y demográficos.
Por otra parte, en 2021, la tasa de abandono escolar temprano en España fue de 11,4 %, tres puntos por encima del promedio de la Unión Europea.(25) Además, según las cifras proporcionadas por el MINEDU, en Perú la deserción aumento en primaria del 1,3 % a 3,5 %, es decir, alrededor de 128 000 estudiantes; mientras que en secundaria las cifras subieron de 3,5 % a 4,0 % siendo una de las principales causas los factores económicos.(26) Mientras que en México la problemática fluctúa entre 14,5 % y 16,5 %. Esto permite establecer que las políticas públicas en Ecuador han sido eficientes.
Gran parte de los estudios realizados centran su atención en los factores sociales.(27) Destacan estrategias como el fortalecimiento de la relación entre escuela familia y comunidad, desarrollo de programas de tutoría, implementación de políticas inclusivas.(28,29) Sin embargo, los factores institucionales y demográficos pueden influir significativamente en la deserción educativa. En zonas rurales, la distancia, la falta de transporte, falta de infraestructura adecuada, son elementos a tomar en cuenta.(30)
Además, una posible interpretación es que las instituciones con mayor número de matriculados podrían estar experimentando una sobrecarga en sus recursos. Además, la relación también podría estar vinculada a la calidad educativa. De la misma manera, estudios realizados concluyen que la educación, en los últimos años, se ha desarrollado entre dificultades como altas tasa de repetición, deserción, baja calidad educativa, y desigualdad.(31, 32)
La disminución en la tasa de abandono al 3,88 % muestra una mejora en el sistema educativo ecuatoriano, lo cual puede indicar mejoras en las políticas de intervención educativas. Sin embargo, se presentan brechas en el acceso y la calidad educativa ya que no existen orientaciones para contextualizar el modelo educativo a las necesidades de la población.(33) Por este motivo, se puede evidenciar la deserción más alta en las zonas rurales y de sostenimiento fiscal, en donde los estudiantes están más alejados de sus instituciones, desarrollan trabajos en agricultura o simplemente el apoyo de sus familiares es escaso o nulo.
Quedan pendientes preguntas por responder acerca del abandono escolar por factores institucionales. ¿De qué manera la calidad de la infraestructura institucional afecta la tasa de abandono en zonas rurales y urbanas? ¿Cómo interactúan los factores demográficos con las prácticas institucionales? ¿Cómo afecta el cierre de escuelas en el desarrollo educativo de los estudiantes de zonas rurales?
CONCLUSIONES
Los modelos predictivos (LM y GLM) fueron efectivos para estimar la tasa de abandono escolar en Chimborazo. Aunque ambos mostraron un ajuste significativo, el GLM demostró ser ligeramente superior en la explicación de la variabilidad, lo que sugiere un enfoque más robusto.
El análisis mostró que el tipo de sostenimiento de la institución y la ubicación geográfica (rural o urbana) están significativamente asociados con el abandono escolar. Las instituciones fiscales y áreas rurales presentaron una mayor tasa de deserción, destacando la necesidad de enfocar estrategias de intervención en estas variables.
Las instituciones educativas rurales, especialmente aquellas con financiamiento público, enfrentan varios obstáculos que aumentan la deserción escolar, como la deficiencia en infraestructura, las distancias largas y la falta de recursos. Para combatir estas brechas, es importante implementar políticas que mejoren la infraestructura, proporcionen transporte adecuado y fomenten la inclusión. Además, fortalecer la colaboración entre la escuela y la comunidad, así como ofrecer programas de apoyo a las familias, son factores clave para reducir la deserción en estas áreas. Evaluar estas políticas debe centrarse en mejorar las tasas de matrícula, el rendimiento académico y la continuidad educativa.
1. Santamaría Luna R. El abandono escolar prematuro en zonas rurales de Europa y España. Avances en Supervisión Educativa. 2015; 0(24). https://www.doi.org/10.23824/ase.v0i24.16
2. Correa Carrera K, Ponce Martínez J. El Sistema de Alerta Temprana (SISAT) para disminuir el abandono escolar en las Escuelas Primaria Rurales de Tabasco. Perspectivas Docentes. 2020; 31(73). https://dialnet.unirioja.es/servlet/articulo?codigo=7866580
3. Suberviola I. Análisis de los factores predictivos del abandono escolar temprano. VIVAT ACADEMIA. Revista de comunicación. 2021; 15(4). https://doi.org/10.15178/va.2021.154.e1373
4. Zambrano R, Barzaga O. La deserción escolar en bachillerato técnico en la Unidad Educativa Fiscal Membrillo del Cantón Bolívar Manabí. REVISTA CIENTIFICA DOMINIO DE LAS CIENCIAS. 2023; 9(2). https://dominiodelasciencias.com/ojs/index.php/es/article/view/3332
5. Fuentes Peralta M, Chávez Preisler C. Abandono escolar: circunstancias que caracterizan el momento del abandono escolar temprano. Revista INTEREDU. 2021. https://dx.doi.org/10.32735/s2735-65232019000181
6. Karhina K, Boe T, Hysing M, Askeland K, Nilsen S. Parental separation and school dropout in adolescence. SAGE JOURNAL REVIEWERGETAWAY. 2023; 52(5). https://doi.org/10.1177/14034948231164692
7. Selim K, Rezk S. On predicting school dropouts in Egypt: A machine learning approach. Education and Information Technologies. 2023; 28. https://dx.doi.org/10.1007/s10639-022-11571-x
8. López Rodrígues I. Abandono escolar: mirada desde una perspectiva diferente al proceso de formación. Revista Internacional de Ciencias Sociales y Humanidades SOCIOTAM. 2017; 27(1): p. 163-190. http://www.redalyc.org/articulo.oa?id=65456040010
9. Sañudo Guerra L. Del abandono a la permanencia. Estudio desde la teoria general del sistema. Profesorado. Revista de curriculum y formación del profesorado. 2022; 26(1). http://www.1030827/profesorado.v26i1.13535
10. Otero A, Corica A, Vicente ME. El abandono escolar en la escuela secundaria: una investigación sobre los entramados de eventos y experiencias, en los procesos de interrupciones escolares con jóvenes de escuela secundaria de CABA y Gran Buenos Aires. MEMORIA ACADEMICA. 2022;: p. 96-114. https://www.memoria.fahce.unlp.edu.ar/libros/pm.5505/pm.5505.pdf
11. MINEDUC. EDUCACIÓN.GOB.EC. [Online]; 2024. Disponible en: https://educacion.gob.ec/datos-abiertos/.
12. Urbina A, Camino J, Cruz R. Deserción escolar universitaria: Patrones para prevenirla aplicando minería de datos educativa. Revista ELectrónica de Investigación y Evaluación educativa. 2020. https://dx.doi.org/10.32735/s2735-65232019000181
13. Dussaillant F. Deserción escolar en Chile. Propuestas para la incvestigación y la política pública. ANÁLISIS. CENTRO DE POLÍTICAS PÚBLICAS - FACULTAD DE GOBIERNO. 2017. https://gobierno.udd.cl/cpp/files/2017/08/18-Deserci%C3%B3n.pdf
14. Islam N, Wu M, Hossin A. Economic Effect of School Dropout in Bangladesh. Economic Effect of School Dropout in Bangladesh. 2019;(9). http://doi: 10.18178/ijiet.2019.9.2.1188
15. Hernández LF, Montes FV. Modelo redictivo del riesgo de abandono escolar en educacion media supedior en México. Ciencia UAT. 2020; 15(1). http://www.doi.org/10.29059/cienciauat.v15i1.1349
16. Díaz E. Estilos de Aprendizaje. EIDOS. 2012; 5(88). https://doi.org/10.29019/eidos.v0i5.88
17. Garcés L, Montaluisa Á, Salas E. El aprendizaje significativo y su relación con los estilos de aprendizaje. ANALES. 2018; 1(376). https://doi.org/10.29166/anales.v1i376.1871
18. García Z. Hábitos de estudio y rendimiento académico. Revista Boletín REDIPE. 2019; 8(10). https://doi.org/10.36260/rbr.v8i10.833
19. Fernández S, Cordero J, Córdova A. Estadistica descriptiva Madrid: ESIC EDITORIAL; 2002.
20. Rodríguez J. Fundamentos de minería de datos Caldas: Editoriales Universitarias de Colombia; 2010.
21. Carmona F. Modelos lineales Barcelona: Universitat de Barcelona; 2023.
22. Dikovskiy L, Pedroza M. MODELOS LINEALES GENERALES Y MIXTOS EN LA CARACTERIZACIÓN DE LA VARIABLE CALIFICACIÓN, INGENIERÍA AGROINDUSTRIAL, UNI-NORTE. Nexo, Revista científica. 2017; 30(2): p. 84-95. http://dx.doi.org/10.5377/nexo.v30i2.5527
23. IBM Corporation. IBM. [Online]; 2021. Disponible en: https://www.ibm.com/docs/es/spss-statistics/saas?topic=statistics-generalized-linear-models.
24. UNESCO. unesco.org. [Online]; 2022. Acceso 26 de 08de 2024. Disponible en: https://www.unesco.org/es/articles/que-debemos-saber-acerca-del-informe-mundial-de-la-unesco-sobre-el-abandono-escolar-por-parte-de-los.
25. Berral-Ortíz B, Ramos-Navas-Parejo M, Lara-Lara F, Moreno-Palma N. School dropouts in Spain: A systematic review. Frontiers in Education. 2022; 7. https://dx.doi.org/10.3389/feduc.2022.1083774
26. Calero R, Sosa-Cagna M, Lino-Zuñiga M, Ponciano-Navarro J. Factores determinantes de la deserción escolar en la región Huánuco, Perú. Revista Desafíos. 2023; 14(2). https://doi.org/10.37711/desafios.2023.14.2.401
27. Suberviola I, Nalda F, Marcos A. Factors influencing early school dropout: student’s perspective. Educación XX1. 2024; 27(1). http://www.10.5944/educxx1.36980
28. CEPAL. repositorio.cepal.org. [Online]; 2024. Acceso 26 de 08de 2024. Disponible en: https://repositorio.cepal.org/server/api/core/bitstreams/b80b4d28-e4df-4c5c-9659-dd78d4d1b527/content.
29. Lira M, Acevedo E, Ahumada Y. Factors for student retention: Perspectives from four Chilean educational communities. Revista de Investigación en Educación. 2024; 22(2). http://www.10.35869/reined.v22i2.5385
30. Avellana-Chacón S, Tovar-Gálvez J, Espinoza-Barrera P, Martínez-Pachón D. SOCIO-OCCUPATIONAL GUIDANCE IN RURAL EDUCATION: BIBLIOMETRIC AND SYSTEMATIC ANALYSIS FROM THE PROKNOW-C METHOD. Revista Espanola de Orientacion y Psicopedagogia. 2024; 35(1). https://www.10.5944/reop.vol.35.num.1.2024.40834
31. Rojas S. ¿Se puede hablar de equidad en el sistema educativo colombiano? Revista Colombiana de Estudios Militares y Estratégicos. 2018; 16(23). https://doi.org/10.21830/19006586.286
32. Ishlaj Y. La importancia de la cobertura educativa con referencia a las Políticas Educativas de Guatemala. Revista Naturaleza, Sociedad y Ambiente. 2023; 10(1). https://doi.org/10.37533/cunsurori.v10i1.90
33. Garnica D, Jiménez F. Understanding the scope of educational policies in Ecuador: an analysis of its historical evolution. Revista Kronos. 2023; 4(1). https://dx.doi.org/10.29166/kronos.v4i1.4308
FINANCIACIÓN
Los autores no recibieron financiación para el desarrollo de la presente investigación.
CONFLICTO DE INTERESES
Los autores declaran que no existe conflicto de intereses.
CONTRIBUCIÓN DE AUTORÍA
Conceptualización: Esteban Castillo, Lidia Castro.
Curación de datos: Esteban Castillo.
Análisis formal: Esteban Castillo.
Investigación: Esteban Castillo, Lidia Castro.
Metodología: Esteban Castillo, Lidia Castro.
Administración del proyecto: Esteban Castillo.
Recursos: Esteban Castillo.
Software: Esteban Castillo.
Supervisión: Lidia Castro.
Validación: Esteban Castillo, Lidia Castro.
Visualización: Esteban Castillo.
Redacción – borrador original: Esteban Castillo.
Redacción – revisión y edición: Esteban Castillo, Lidia Castro.