doi: 10.56294/dm2024.645
ORIGINAL
The Impact of Youth Empowerment Programs on Patriotism-Driven Defense Readiness: A Meta-Analysis
El Impacto de los Programas de Empoderamiento Juvenil en la Preparación de Defensa Basada en el Patriotismo: Un Meta-Análisis
Nursanda Rizki Adhari1
*,
Dadang Sundawa1
, Cecep Darmawan1
, Syaifullah1 ![]()
1Universitas Pendidikan Indonesia, Department of Civic Education, Faculty of Social Sciences Education. Bandung, Indonesia.
Cite as: Rizki Adhari N, Sundawa D, Darmawan C, Syaifullah S. The Impact of Youth Empowerment Programs on Patriotism-Driven Defense Readiness: A Meta-Analysis. Data and Metadata. 2024; 3:.645. https://doi.org/10.56294/dm2024.645
Submitted: 12-06-2024 Revised: 04-09-2024 Accepted: 23-12-2024 Published: 24-12-2024
Editor: Dr.
Adrián Alejandro Vitón Castillo ![]()
Corresponding Author: Nursanda Rizki Adhari *
ABSTRACT
Introduction: the lack of comprehensive research evaluating the impact of youth empowerment programs on patriotism-driven defense readiness among youth underlies this study. Accordingly, this study aimed to analyze the influence of youth empowerment programs on patriotism-driven defense readiness.
Method: this study utilized a quantitative approach of meta-analysis type. The eligible criteria for the reviewed articles included: (1) relevant topics of discussion; (2) empirical research results; (3) having values (r), (t), or (F); (4) N ≥ 30; (5) using an internationally recognized language; (6) indexed by Scopus, Web of Science, SINTA, or at least Google Scholar; and (7) searchable in national and international online journal databases. Data collection techniques included the use of various related keywords in well-known journal databases such as PubMed, Scopus, Web of Science, ERIC (Education Resources Information Center), and Google Scholar. The software used in this data analysis was JASP 19.2.0.
Results: the results of this study revealed several findings as follows: (1) the heterogeneity test shows that the analyzed studies come from a heterogeneous population; (2) the effect size test shows the estimated effect size value of 0,845 (p < 0,001) indicating a significant level of influence and in the high category; and (3) the publication bias test using the Precision-effect test and precision-effect estimate with standard errors (PET-PEESE) t value of 0,644 and p-value of 0,524 indicate no publication bias was found.
Conclusions: this study concludes that youth empowerment programs have a significant impact on patriotism-based defense readiness, with studies originating from heterogeneous populations and without any detected publication bias.
Keywords: Youth Empowerment Programs; Patriotism-Driven Defense Readiness; Meta-Analysis.
RESUMEN
Introducción: el problema subyacente de esta investigación es la falta de investigaciones comprensivas que evalúen el impacto de los programas de empoderamiento juvenil en la preparación de defensa basada en el patriotismo entre los jóvenes. El objetivo de este estudio es analizar la influencia de los programas de empoderamiento juvenil en la preparación de defensa basada en el patriotismo.
Método: este estudio utiliza un enfoque cuantitativo de tipo meta-análisis. Los criterios de elegibilidad incluyen: (1) debe abordar un tema relevante; (2) resultados de investigaciones empíricas; (3) tener valores (r), (t) o (F); (4) N ≥ 30; (5) usar un idioma reconocido internacionalmente; (6) indexado en Scopus, Web of Science, SINTA o al menos Google Scholar; y (7) buscable en bases de datos en línea de revistas nacionales e internacionales. La recolección de datos se realiza mediante el uso de varias palabras clave relevantes en bases de datos de revistas reconocidas como PubMed, Scopus, Web of Science, ERIC (Education Resources Information Center) y Google Scholar. El software utilizado en el análisis de datos es JASP 19,2.0.
Resultados: los resultados de este estudio muestran que: (1) la prueba de heterogeneidad indica que los estudios analizados provienen de una población heterogénea; (2) la prueba de efecto muestra un valor de estimación del tamaño del efecto de 0,845 (p < 0,001), lo que indica un impacto significativo y en una categoría alta; y (3) la prueba de sesgo de publicación usando el test de precisión y la estimación de efecto con errores estándar (PET-PEESE) muestra un t de 0,644 y un valor p de 0,524, indicando que no se detectó sesgo de publicación.
Conclusiones: las conclusiones de este estudio muestran que los programas de empoderamiento juvenil tienen un impacto significativo en la preparación de defensa basada en el patriotismo, con estudios provenientes de una población heterogénea y sin detectar sesgo de publicación.
Palabras clave: Programas de Empoderamiento Juvenil; Preparación de Defensa Impulsada por el Patriotismo; Meta-Análisis.
INTRODUCTION
State resilience which is the main foundation for the sustainability and stability of a nation is one of the most crucial elements in this modern era due to the complexity of global challenges that continue to grow and the potential threats to national sovereignty.(1) State resilience includes a country’s ability to protect sovereignty, maintain territorial integrity, and ensure the sustainability of national identity.(2,3) Various challenges such as external threats, global conflicts, and technological disruption have placed state resilience as a strategic issue that continuously becomes a topic of discussion in various international forums. State resilience is not only determined by military strength but also by the ability of its people to unite in facing threats.(4)
National resilience, which is the main foundation in maintaining the existence and sovereignty of a nation amidst global dynamics, requires a strong spirit of patriotism at every level of society.(5,6) Patriotism is one of the essential factors in building national resilience.(7) Patriotism refers to a sense of love and loyalty to the homeland, encouraging individuals to actively contribute to defending and advancing their country.(8) Studies show that countries with high levels of patriotism have a population that is more ready to sacrifice for the sake of the nation and state, including in supporting national defense programs.(9) Patriotism-driven defense readiness is a national defense strategy rooted in the love, loyalty, and dedication of citizens to their homeland. This strategy emphasizes the importance of the role of patriotism as the main motivation for individuals to contribute to maintaining national sovereignty, either through military service, civil preparedness, or other forms of contribution.(5,10) Patriotism-driven defense readiness emphasizes the importance of building national pride and unity to strengthen the country’s resilience to internal and external threats.(6)
Various global policies have emphasized the importance of patriotism in strengthening defense readiness. The National Defense Strategy in the United States has a Youth Sponsorship Program that aims to integrate military children into their new communities by providing mentors and social support. In addition, comprehensive defense policies in the European Union such as the Common Security and Defense Policy (CSDP), the European Defense Fund (EDF), and the European Union Global Strategy (EUGS) foster a spirit of patriotism among the people in various fields.(11,12) In India, the National Cadet Corps (NCC) Program emphasizes patriotism among the youth by providing paramilitary training and engaging in community service activities.(13,14) Furthermore, programs such as the Global Peace and Security Initiative also highlight the role of patriotism in maintaining global stability.(15)
Even though patriotism is a key factor, surveys show that the spirit of patriotism and contribution to national defense remains low in many parts of the world, especially among the younger generation. The latest Gallup survey in 2023 found that only 41 % of Americans feel “very proud” to be American, marking the lowest point in national pride since the survey began in 2001.(16) The phenomenon of the level of patriotism of US citizens has been falling consistently since 2015. Furthermore, the European Parliament’s Spring 2023 Eurobarometer survey revealed a significant decline in patriotism among citizens, evidenced by a decline in the sense of national identity and pride and an increase in skepticism and a reduced sense of pride in national identity across the continent.(17) In addition, the phenomenon in South Korea based on a 2022 survey revealed that there was a decrease in South Korean citizens’ sense of pride from the previous survey showing that there were 20 % to 12 %.(18) This indicates the urgency of addressing the low level of patriotism that needs to be improved immediately.
One solution to overcome the weakness of patriotism-driven defense readiness is through youth empowerment programs.(19) This program aims to increase the involvement of the younger generation in patriotism-based activities, such as leadership training, participation in national defense simulations, and education related to national security.(20) Youth empowerment not only builds individual capacity but also forms a collective identity that is in line with national values.(21) Patriotism-based youth empowerment programs can increase defense readiness among program participants.(10,22)
Several studies have examined the influence of youth empowerment on patriotism-driven defense.(7,9,23,24) However, this study offers novelty by integrating the results of previous studies using meta-analysis methods to provide a comprehensive picture of the influence of youth empowerment on patriotism-driven defense.(5,25) There are not many studies that explicitly examine the relationship between youth empowerment and patriotism-based defense readiness on a global scale, so this study makes a significant contribution to the existing literatura.(6,7)
Research on youth empowerment programs is crucial because it can address the strategic need to enhance patriotism-driven defense resilience in today’s global era. Due to the increasing complexity of security threats, understanding the impact of these programs helps policymakers design effective interventions to strengthen national unity and resilience. Furthermore, this study can provide comprehensive insights into how targeted youth empowerment programs can foster patriotism and support a country’s overall defense readiness by examining the relationship between variables such as youth engagement, social cohesion, and defense readiness. Based on the aforementioned reasons, this study aims to analyze the impact of youth empowerment programs on patriotism-driven defense readiness across the world.
METHOD
Research Design
This study utilized a quantitative approach of meta-analysis type. Meta-analysis is a statistical method used to integrate the results of several different research studies to determine the overall impact of an intervention or phenomenon.(26) This meta-analysis study aimed to collect data from various previous studies on youth empowerment programs and their relationship to patriotism and defense readiness.
Eligibility Criteria
Eligible criteria in meta-analysis refer to specific guidelines used to determine which studies are included in the analysis.(27) The eligible criteria of this study included: ((1) relevant topics of discussion; (2) empirical research results; (3) having values (r), (t), or (F); (4) N ≥ 30; (5) using an internationally recognized language; (6) indexed by Scopus, Web of Science, SINTA, or at least Google Scholar; and (7) searchable in national and international online journal databases. Studies that meet the above criteria can be recognized to provide valid and relevant contributions to the meta-analysis to understand the impact of youth empowerment programs on patriotism-based defense readiness.
Data Collection Techniques
In the process of reference searching for meta-analysis studies, the researchers used various data collection techniques. First, the keywords used in searching for study articles included, “Programs for Youth Development”, “Initiatives to Empower Youth”, “Youth Engagement Programs”, “Youth Development Initiatives”, “Programs to Build Youth Leadership”, “Youth Skill Development Programs”, “Community Empowerment Initiatives for Youth”, “Patriotism”, “National Defense”, “Patriotism-Based Defense Preparedness”, “National Pride and Military Readiness”, “Defense Readiness Rooted in Patriotism”, “Patriotism-Inspired Defense Strategy”, “Military Preparedness with a Patriotic Focus”, and “National Identity and Defense Capability”. Second, the researchers used well-known journal databases such as PubMed, Scopus, Web of Science, ERIC (Education Resources Information Center), and Google Scholar to find articles that match the research topic. In addition, the researchers also used additional article search platforms such as the Cochrane Library or JSTOR, Wiley Online Library, Taylor & Francis Online, IEEE Xplore, Emerald Insight, IGI Global, etc.
Data Analysis
In this study, Cohen’s criteria were used to classify the effect size of each study analyzed.(28) Cohen’s d effect size was used to measure the impact of the problem-based learning model on decision-making skills, with the interpretation of the effect size classified as small (0,2), medium (0,5), or large (0,8) according to existing guidelines. The software used in this data analysis was JASP 19.2.0. The results of data coding for 34 studies in this meta-analysis article can be seen in table 1.
|
Table 1. Comparison of the 34 studies based on N, r, t, and F value |
|||||||||
|
No |
Author Names |
N |
r |
t |
F |
Countries |
Index |
Subject |
Methods |
|
1 |
Qari et al.(29) |
1808 |
0,93 |
|
|
Germany |
Q1 of Scopus |
Soldiers |
Survey |
|
2 |
Yu et al.(21) |
205 |
0,97 |
|
|
China |
Q1 of Scopus |
Community |
Quasi-experimental |
|
3 |
Marchenoka(7) |
373 |
|
|
58,80 |
Latvia |
Q1 of Scopus |
Junior high school students |
Survey |
|
4 |
Marzecki(9) |
810 |
0,99 |
|
|
Poland |
Q1 of Scopus |
University students |
Quasi-experimental |
|
5 |
Fukuoka & Takita-Ishii(3) |
80 |
|
7,29 |
|
Japan |
Q1 of Scopus |
University students |
Survey |
|
6 |
Li et al.(24) |
1172 |
0,96 |
|
|
China |
Q1 of Scopus |
University students |
Quasi-experimental |
|
7 |
Aktas et al.(30) |
457 |
|
3,76 |
|
Turkey |
Q1 of Scopus |
University students |
Correlational |
|
8 |
Wang et al.(4) |
1115 |
|
4,44 |
|
China |
Q1 of Scopus |
Community |
Mixed Method |
|
9 |
Ashraf et al.(31) |
228 |
0,91 |
|
|
Pakistan |
Q2 of Scopus |
Employees |
Survey |
|
10 |
Sulkowski et al.(32) |
521 |
|
|
29,84 |
Ukraine |
Q2 of Scopus |
Entrepreneurs |
Correlational |
|
11 |
Wardhani et al.(12) |
18807 |
0,52 |
|
|
Indonesia |
Q2 of Scopus |
Employees |
Survey |
|
12 |
Ile & Boadu(11) |
120 |
|
|
31,48 |
Ghana |
Q2 of Scopus |
Youth |
Mixed Method |
|
13 |
Matthews & Timur(4) |
7550 |
|
5,52 |
|
Singapore |
Q2 of Scopus |
Community |
Mixed Method |
|
14 |
Bay et al.(6) |
822 |
0,86 |
|
|
Vietnam |
Q2 of Scopus |
University students |
Correlational |
|
15 |
Lin et al.(33) |
430 |
0,97 |
|
|
China |
Q2 of Scopus |
University students |
Cross-sectional Quantitative |
|
16 |
Hu et al.(34) |
905 |
|
6,91 |
|
China |
Q2 of Scopus |
University students |
Cross-sectional Quantitative |
|
17 |
Hamada et al.(8) |
192 |
0,71 |
|
|
China |
Q2 of Scopus |
University students |
Cross-sectional Quantitative |
|
18 |
Efimova(35) |
7040 |
0,59 |
|
|
Rusia |
Q3 of Scopus |
Junior high school students |
Quasi-experimental |
|
19 |
Kamionka(36) |
1043 |
|
|
34,43 |
Ukraine |
Q4 of Scopus |
Youth |
Mixed Method |
|
20 |
Permatasari & Aryani(37) |
90 |
|
|
16,32 |
Indonesia |
Proc. Scopus |
Elementary school students |
Research & Development |
|
21 |
Rahman et al.(5) |
195 |
|
13,73 |
|
Malaysia |
Proceedings of Scopus |
Youth |
Quasi-experimental |
|
22 |
Gritskikh et al.(38) |
2000 |
|
14,72 |
|
Rusia |
Proceedings of WoS |
Community |
Survey |
|
23 |
Pu(23) |
365 |
|
|
22,41 |
Australia |
Proceedings of WoS |
Junior high school students |
Survey |
|
24 |
Rozhkova(10) |
3963 |
0,89 |
|
|
Rusia |
Proceedings of WoS |
University students |
Survey |
|
25 |
Handayani et al.(1) |
194 |
|
9,86 |
|
Indonesia |
SINTA 2 |
Junior high school students |
Correlational |
|
26 |
Sarmini et al.(2) |
50 |
|
|
45,90 |
Indonesia |
SINTA 2 |
School principals |
Survey |
|
27 |
Tjeppy(39) |
60 |
0,55 |
|
|
Indonesia |
SINTA 2 |
Senior high school students |
Survey |
|
28 |
Hanum et al.(40) |
60 |
0,87 |
|
|
Indonesia |
SINTA 2 |
University students |
Mixed Method |
|
29 |
Widi et al.(22) |
34 |
0,86 |
|
|
Indonesia |
SINTA 4 |
Youth |
Mixed Method |
|
30 |
Pasaribu & Melina(41) |
322 |
0,84 |
|
|
Indonesia |
Index Copernicus |
Senior high school students |
Quasi-experimental |
|
31 |
Bezliudniy et al.(42) |
7200 |
0,97 |
|
|
Ukraine |
Index Copernicus |
University students |
Correlational |
|
32 |
Tafuh & Priyadi(20) |
60 |
0,5 |
|
|
Cameroon |
Index Copernicus |
Community |
Cross-sectional Quantitative |
|
33 |
Garrity(43) |
1141 |
0,79 |
|
|
New York |
DOAJ |
Military Students |
Correlational |
|
34 |
Nair & Sinasamy(25) |
120 |
0,78 |
|
|
Malaysia |
Google Scholar |
Junior high school students |
Survey |
RESULTS AND DISCUSSION
Data Description
Based on the 34 articles, a visual representation was created based on the keywords that most often appeared on the internet through word cloud images. Figure 1 shows that the word cloud described topics related to “youth empowerment” and “patriotism”. Larger words indicated the words that appeared most often in the analyzed text. Words such as “youth”, “patriotism”, “education”, “empowerment”, “development”, and “nationalism” stood out in this image, indicating that these themes were often discussed in the context of youth development and national awareness. The following figure 1 illustrates the word cloud of keywords related to the study article.

Figure 1. Word cloud
Furthermore, based on the year of publication, figure 2 shows an increasing trend in the number of publications of meta-analysis articles from 2016 to 2024. At the beginning of the period, the number of publications was relatively low. This indicated that interest in this study was still limited. However, from 2018 to 2020, there was a significant increase in publications, reflecting the increasing interest and attention to meta-analysis research. The peak number of publications was recorded in 2022, indicating a period when this research activity was very high. Although there was a small decline in 2024, the overall trend still shows positive growth in the publication of meta-analysis articles.

Figure 2. Publication data by year of publication
In addition, the 34 reviewed articles were grouped by country of origin. figure 3 shows the distribution of the meta-analysis studies by country of origin. Indonesia occupied the largest proportion with a percentage of 24 %, followed by Malaysia and New York with 6 % and 3 %, respectively. Other countries such as Ukraine, Vietnam, Australia, and several others have smaller contributions with a proportion of 3 % each.

Figure 3. Scientific publication data based on the country of origin
Next, figure 4 shows the distribution of journal indexes of the 34 reviewed articles in the meta-analysis study. Most of the articles were published in journals with Scopus indexes, especially Scopus Q2 (26 %) and Scopus Q1 (23 %), while other categories such as DOAJ, SINTA 4, and Scopus Q3 each accounted for only 3 %. Other significant indexes were Index Copernicus and Proceedings WoS, each with a share of 9 %.

Figure 4. Publication data based on the article indexes
The pie chart in figure 5 shows the distribution of publication sources from the 34 reviewed studies, involving a total of 59532 research subjects. The employee group was the largest research subject with 19035 people, followed by students with 16091, and the community with 10930 subjects. Junior high school students were in the middle position with 8092 subjects, followed by soldiers and youth, with 2949 and 1392 subjects respectively. The subjects with the smallest number included school principals (50), elementary school students (90), and entrepreneurs (521), indicating limited research coverage in these groups.

Figure 5. Publication data based on research subjects
Figure 6 shows the distribution of research types from 34 reviewed studies in terms of the distribution of research methods. Quantitative surveys dominated with the largest proportion, namely 32 %, indicating that this method was the main choice in data collection. Quantitative quasi-experimental research and mixed methods each contributed 18 %, followed by quantitative correlational research at 17 %. Quantitative cross-sectional research was at 12 %, while Research & Development (R&D) research only contributed 3 %, making it the least-used method.

Figure 6. Publication data based on research method
Heterogeneity Test
The results of the residual heterogeneity test using the JASP application show a Qₑ value (Q-residual) of 26 208,428, with a degree of freedom (df) of 33, and a p-value of less than 0,001 as depicted in table 2. A very high Qₑ value indicated that there was quite a large variation which cannot be fully explained by the meta-analysis model used between the analyzed studies. A p-value of less than 0,001 indicated that residual heterogeneity cannot be ignored, namely that the differences between individual research results were statistically significant and did not occur by chance. Thus, it can be concluded that the studies analyzed were stated to come from a heterogeneous population.
|
Table 2. Residual heterogeneity test |
|||
|
Qₑ |
df |
p |
|
|
26 208,428 |
33 |
|
< 0,001 |
The heterogeneity test in meta-analysis aims to evaluate the extent to which the results of the various analyzed studies show differences (variability) beyond chance factors. When heterogeneity is low or nonexistent, it means that the results of the various studies tend to be consistent. Therefore, the fixed-effects model can be used because it is assumed that all studies estimate the same effect size.(44) Conversely, if heterogeneity is high, it means that there is a large variation between study results that cannot be explained only by sampling error factors. This indicates significant differences, such as study design, population studied, or measurement methods.(45) If heterogeneity is high, the use of a random-effects model is needed to accommodate the variability between studies.(46)
Effect Size Test
The first effect size test is the pooled effect size. The pooled effect size in table 2 shows that the average effect size estimate was 0,845 with a Standard Error (SE) of 0,004, indicating that the effect size estimate had a high level of influence in the category. The t value = 206,981, with df = 33 and p <0,001, indicated that the average effect size produced in this meta-analysis was very statistically significant. This significance means that the average effect size (0,845) found in the analyzed studies was significantly different from zero, with a very small error probability (alpha), which was less than 0,001. This confirmed that the measured effect (the effect of the intervention) really exists and is not the result of chance.
|
Table 3. Pooled effect size test |
||||
|
Estimate |
Standard Error |
t |
df |
p |
|
0,845 |
0,004 |
206,981 |
33,000 |
< 0,001 |
To provide more in-depth additional information about the estimation of the effect size found, meta-analytic estimates are needed. In table 3, the confidence interval for the effect size was in the range of 0,836 to 0,853, indicating that the average effect size estimate with a 95 % confidence level was within this range. The narrow range of the CI (Confidence Interval) indicated consistency and precision in the effect size estimation. The PI (Prediction Interval) for the effect size was also in the same range, namely 0,836 to 0,853, indicating that the variability between studies was quite small and most studies were predicted to have effect sizes in this range.
|
Table 4. Meta-analytic estimates |
||||||
|
|
95 % CI |
95 % PI |
||||
|
|
Estimate |
Lower |
Upper |
Lower |
Upper |
|
|
Effect Size |
|
0,845 |
0,836 |
0,853 |
0,836 |
0,853 |
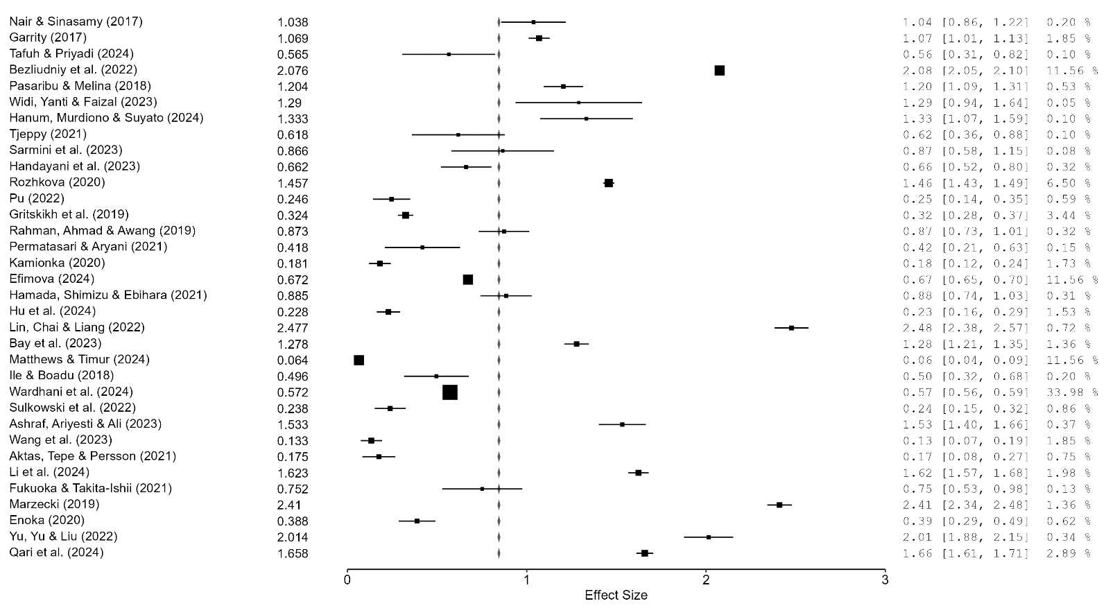
After having the pooled effect size table (table 4) and meta-analytic estimates (table 3), the next step was to use a forest plot to provide a visual representation of the individual effect size estimates from each study in the meta-analysis as well as the resulting pooled effect size. These individual estimates were presented in the form of boxes or bars, where the length reflected the sample size or weight of each study. The following is a visualization of the effect size test results in figure 1.

Figure 7. Forest plot
Based on the effect size test above, it can be concluded that this meta-analysis study proves that youth empowerment programs had a significant and strong influence on patriotism-driven defense readiness. The estimated effect size value of 0,845 indicated a high and consistent level of influence among the various analyzed studies. This finding provided a strong empirical basis for policymakers to continue developing and integrating youth empowerment programs as an important strategy in increasing national resilience based on patriotic values. Youth empowerment programs are an important strategy in increasing national resilience based on patriotic values because youth are the main pillars in maintaining the sustainability of the nation.(3,38) Youth have great potential as agents of change that can strengthen national identity and the spirit of love for the homeland. Through empowerment programs, such as skills training, character building, and leadership development, youth are equipped with the ability to actively contribute to the development of social, economic, and national defense.(19,22) In addition, these programs provide space for youth to understand their role as part of a defense system that is not only based on physical strength, but also mental, moral, and ideological strength.(20)
Publication Bias Test
In this study, a combination of the PET (Precision-Effect Test) and PEESE (Precision-Effect Estimate with Standard Errors) tests was utilized as the publication bias test. Precision-effect tests and precision-effect estimates with standard errors (PET-PEESE) are methods used in meta-analysis to identify and address publication bias, such as publication bias or file drawer effects. Table 5, namely, PET test results show a t value of 4,582, indicating a relationship between effect size and standard error and p-value <0,001, meaning the results are statistically very significant.
|
Table 5. Test of precision-effect estimate with standard errors |
|||
|
|
t |
df |
p |
|
PET |
4,582 |
32 |
< 0,001 |
If the PET test shows significant results, this means that it is necessary to proceed to the PEESE model (second regression) to obtain a more accurate and calibrated effect size estimate against publication bias. Based on the PEESE results in table 6, the t-value was 0,644, which means that there was a very weak relationship between the effect size and the sampling variance. Furthermore, the p-value was 0,524, which was not statistically significant (because it is greater than 0,05). These results indicated that no publication bias was detected. This is because the insignificant p-value (0,524) implied that there was no strong or consistent relationship between the effect size and the sampling variance (which is an indicator of publication bias).
|
Table 6. Test of publication bias |
|||
|
|
t |
df |
p |
|
PET |
0,644 |
32 |
0,524 |
In this study, no publication bias was found, so the meta-analysis results obtained were reliable. Publication bias in meta-analysis research occurs when the results of reported and published studies tend to show statistically significant results, while studies with insignificant results are often not published.(47) This bias can cause the effect size estimate in meta-analysis to be inaccurate because the results of unpublished studies are not represented.(45) PET-PEESE is the best method to detect and correct publication bias because this method directly tests the relationship between effect size and standard error of estimation.(26)
CONCLUSIONS
Based on the results and the above discussion, it can be concluded that: (1) the heterogeneity test shows that the analyzed studies are stated to come from a heterogeneous population; (2) the effect size test indicates a significant level of influence and is in the high category; and (3) the publication bias test using the Precision-effect test and precision-effect estimate with standard errors (PET-PEESE) shows no publication bias. This study reveals that youth empowerment programs have a significant impact on patriotism-based defense preparedness, with studies originating from a heterogeneous population and without any detected publication bias.
The limitation of this study is related to the sample criteria, which only included studies involving samples from junior high school students to adults. The absence of studies from the elementary school level in this meta-analysis means that the results found may not fully reflect the impact of youth empowerment programs on patriotism-based defense readiness among younger students. Different effects and results may emerge if studies from the elementary school level are included in the analysis, given the differences in cognitive, social, and emotional development.
Based on the identified research limitations, it can be recommended for further research to involve students from the elementary school level, considering that youth empowerment programs can also have a significant impact on the development of patriotism and defense readiness at a younger age. In addition, further researchers can conduct a comparative study of the influence of this empowerment program on each level of school, both elementary, middle, and high school.
BIBLIOGRAPHIC REFERENCES
1. Handayani W, Sulistyantoro H, Dermawan R, Ratnawati ETR. Creating National Resilience through State Defence and Student Character at Gerakan Sekolah Belajar. JPI (Jurnal Pendidikan Indonesia). 2023 Dec 23;12(4):806–17. Available from: https://doi.org/10.23887/jpiundiksha.v12i4.58359
2. Sarmini S, Suprijono A, Susilowati IF, Achmadi C, Rizaq ADB El. The Principal’s Strategy for Strengthening National Identity in Globalization Era. IJORER : International Journal of Recent Educational Research. 2023 Jan 31;4(1):104–15. Available from: https://doi.org/10.46245/ijorer.v4i1.284
3. Fukuoka K, Takita-Ishii S. Teaching how to love your country in schools?: a study of Japanese youth narratives on patriotic education. National Identities. 2022;24(3):247–70. Available from: https://doi.org/10.1080/14608944.2021.1931084
4. Wang Y, Tan L, Zhang Z, Liu H, Liu J, Zhang Y, et al. A quantitative evaluation model of ancient military defense efficiency based on spatial strength—take Zhejiang of the Ming Dynasty as an example. Herit Sci. 2023 Dec 1;11(1):1–13. Available from: https://doi.org/10.21203/rs.3.rs-3345119/v1
5. Aziz Abdul Rahman A, Razaq Ahmad A, Mahzan Awang M. Patriotism Among Multi-Ethnic Youths in Malaysia. In: Global Conferences Series: Social Sciences, Education and Humanities (GCSSSEH). Redwhite Press; 2019. p. 1–5. Available from: https://doi.org/10.32698/GCS.0162
6. Van Bay H, Hong Van DT, Sang VM, Binh Tan NK. The Impacts of Heritage Education on Students’ Nationalism and Patriotism: A Case Study at a Private University in Vietnam. European Journal of Educational Research. 2023 Oct 1;12(4):1555–67. Available from: https://doi.org/10.12973/eu-jer.12.4.1555
7. Marchenoka M. The concept of patriotism as perceived by teenagers in Latvia. Local Cultures and Societies [Internet]. 2020;2020(1):312–24. Available from: https://doi.org/10.15503/jecs2020.1.312.324
8. Hamada T, Shimizu M, Ebihara T. Good patriotism, social consideration, environmental problem cognition, and pro-environmental attitudes and behaviors: a cross-sectional study of Chinese attitudes. SN Appl Sci. 2021 Mar 1;3(3):1–16. Available from: https://doi.org/10.1007/s42452-021-04358-1
9. Marzęcki R. Constructive emotions? Patriotism as a predictor of civic activity in Poland. Rivista Italiana di Scienza Politica. 2020 Mar 1;50(1):33–51. Available from: https://doi.org/10.1017/ipo.2019.15
10. Rozhkova L. Citizenship And Patriotism Of Youth As A Resource For Society Consolidation. In: European Proceedings of Social and Behavioural Sciences. European Publisher; 2020. p. 773–83. Available from: https://doi.org/10.15405/epsbs.2020.12.04.89
11. Engberg K. A European Defence Union by 2025? Work in progress [Internet]. 2021. Available from: www.sieps.se
12. European Union Global Strategy. Shared Vision, Common Action: A Stronger Europe (A Global Strategy for the European Union’s Foreign And Security Policy). 2016. Available from: https://www.eeas.europa.eu/sites/default/files/eugs_review_web_0.pdf
13. Sharma K, Hooda DrM. The New Elective of National Cadet Corps (NCC): A Review of Literature. International Journal of Research and Innovation in Social Science. 2023;VII(VII). Available from: https://ideas.repec.org/a/bcp/journl/v7y2023i7p384-396.html
14. Jain R, Kumar S. National Cadet Corps (NCC): Its Role in Integrating North Eastern Region (NER) with Mainstream India. Indian Journal of Public Administration. 2021;67(1). Available from: https://doi.org/10.1177/00195561211006558
15. U.S. Department of Defense. 2022 NATIONAL DEFENSE STRATEGY of The United States of America. National Defense Strategy 2022 p. 1–80. Available from: https://www.whitehouse.gov/wp-content/uploads/2022/10/Biden-Harris-Administrations-National-Security-Strategy-10.2022.pdf
16. Gallup New Service. How proud are you to be an American? (Gallup Survey). 2024. Available from: https://news.gallup.com/poll/646655/american-pride-remains-near-record-low.aspx
17. Public Opinion Monitoring Unit. European Parliament Euro Baro Meter Data Annex (Democracy in Action One Year Before The European Elections). 2023. Available from: https://europa.eu/eurobarometer/surveys/detail/3093
18. Hankook Research. Survey Project, “How Proud Are You of Your Country?” 2022. Available from: https://hrcopinion.co.kr/en/archives/29968
19. Ile I, Boadu ES. The paradox of youth empowerment: Exploring youth intervention programme in Ghana. Cogent Soc Sci. 2018 Jan 1;4(1):1–15. Available from: https://doi.org/10.1080/23311886.2018.1528709
20. Foncha Samuel Ngouafo Tafuh, Budi Puspo Priyadi. Youth empowerment for national development in Cameroon: The case of youths in Buea municipality, south West Region. World Journal of Advanced Research and Reviews. 2024 Jul 30;23(1):2509–15. Available from: https://doi.org/10.30574/wjarr.2024.23.1.2233
21. Yu A, Yu S, Liu H. How a “China-made” label influences Chinese Youth’s product evaluation: The priming effect of patriotic and nationalistic news. Journal of Retailing and Consumer Services. 2022 May 1;66(102899):1–10. Available from: https://doi.org/10.1016/j.jretconser.2021.102899
22. Widi MN, Yanti F, Faizal F. COMMUNITY EMPOWERMENT: AN EMPOWERMENT EFFORT TOWARD YOUTH AT RISK. Jurnal Pengembangan Masyarakat Islam [Internet]. 2023;16(1):111–40. Available from: http://dx.doi.org/10.24042/ijpmi.v16i1.16510
23. Pu J. Patriotism Education for the Teenagers from Chinese Villages. A Case Study in Huayuan No.3 Middle School, Xiangxi, Hunan. In: Proceedings of the 2022 6th International Seminar on Education, Management and Social Sciences (ISEMSS 2022). 2022. p. 608–20. Available from: https://doi.org/10.2991/978-2-494069-31-2_75
24. Li H, Ieong MU, Wong KLL, Zhu J, Chen CC. University students’ concepts of nation in Mainland China, Hong Kong, and Macau: Patriotism or nationalism? High Educ (Dordr). 2024;1–17. Available from: https://doi.org/10.1007/s10734-024-01235-9
25. Nair SM, Sinasamy RP. Patriotism among Secondary School Students and Its Relationship with their Interests towards Learning History. Asian Journal of Education and Training. 2017;3(2):110–7. Available from: https://doi.org/10.20448/journal.522.2017.32.110.117
26. Lin L, Chu H. Quantifying publication bias in meta-analysis. Biometrics. 2018;74(3). Available from: https://doi.org/10.1111/biom.12817
27. Chamdani M, Yusuf FA, Salimi M, Fajari LEW. Meta-Analysis Study: the Relationship Between Reflective Thinking and Learning Achievement. Journal on Efficiency and Responsibility in Education and Science. 2022;15(3):181–8. Available from: https://doi.org/10.7160/eriesj.2022.150305
28. Correll J, Mellinger C, McClelland GH, Judd CM. Avoid Cohen’s ‘Small’, ‘Medium’, and ‘Large’ for Power Analysis. Trends Cogn Sci [Internet]. 2020;24(3):200–7. Available from: https://doi.org/10.1016/j.tics.2019.12.009
29. Qari S, Börger T, Lohse T, Meyerhoff J. The value of national defense: Assessing public preferences for defense policy options. Eur J Polit Econ. 2024 Dec 1;85(102595):1–14. Available from: https://doi.org/10.1016/j.ejpoleco.2024.102595
30. Aktas V, Tepe YK, Persson RS. Investigating Turkish university students’ attitudes towards refugees in a time of Civil War in neighboring Syria. Current Psychology. 2021 Feb 1;40(2):553–62. Available from: https://doi.org/10.1007/s12144-018-9971-y
31. Makeel R, Ashraf J, Ariyesti FR, Ali S. How does patriotism and institutional support affect the social entrepreneurial orientation (SEO) in the presence of social valuation and experiential learning for social ventures. Journal of Enterprising Communities. 2023 Nov 13;17(6):1315–37. Available from: https://doi.org/10.1108/JEC-04-2022-0058
32. Sułkowski Ł, Ignatowski G, Stopczyński B, Sułkowska J. INTERNATIONAL DIFFERENCES IN PATRIOTIC ENTREPRENEURSHIP-THE CASE OF POLAND AND UKRAINE. Economics & Sociology. 2022;15(1):297–319. Available from: https://doi.org/10.14254/2071-789X.2022/15-1/19
33. Lin M, Chai CS, Liang JC. A mediation model of the relationship between university students’ news media literacy and xenophobia: The role of intellectual humility, perceived threat, and blind patriotism. Front Psychol. 2022 Nov 8;13(1036497):1–15. Available from: https://doi.org/10.3389/fpsyg.2022.1036497
34. Hu Y, Zhang H, Zhang W, Li Q, Cui G. The influence of gratitude on patriotism among college students: a cross-sectional and longitudinal study. Front Psychol. 2024;15(1278238):1–15. Available from: https://doi.org/10.3389/fpsyg.2024.1278238
35. Efimova E. Open classroom in a closed society: Effects of patriotism and ideological diversity in the Russian school. Journal of Social Science Education. 2024;23(1):1–26. Available from: https://doi.org/10.11576/jsse-6431
36. Kamionka M. Patriotism of the young generation in Ukraine in the era of hybrid war. Vol. 18, Lithuanian Annual Strategic Review. General Jonas Zemaitis Military Academy of Lithuania; 2020. p. 221–39. Available from: https://doi.org/10.47459/lasr.2020.18.10
37. Permatasari M, Aryani I. The Development Of Discovery Learning Model Based on Cultural Value to Improve Student Patriotism in Class V SD Negeri Slarang 04 Cilacap. In: Proceedings of the 1st International Conference on Social Sciences. European Alliance for Innovation n.o.; 2021. p. 1–8. Available from: https://doi.org/10.4108/eai.19-7-2021.2313062
38. Gritskikh N, Zagorodniy N, Reshetnikova E, Feytkevich N, Bovkun A. Challenges to Leadership Development in Members of Student Communities as a Problem of Social Well-Being and Development of Patriotism in Youth. In: Advances in Social Science, Education and Humanities Research. 2019. p. 1–6. Available from: https://doi.org/10.2991/hssnpp-19.2019.76
39. Tjeppy T. Learning civic education on students’ legal awareness. Jurnal Civics: Media Kajian Kewarganegaraan. 2021 Apr 1;18(1):97–108. Available from: https://doi.org/10.21831/jc.v18i1.38602
40. Hanum FF, Murdiono M, Suyato S. Innovation in civic education learning model to improve national defense skills in college students. Jurnal Civics: Media Kajian Kewarganegaraan. 2024 Apr 30;21(1):107–15. Available from: https://doi.org/10.21831/jc.v21i1.67165
41. Pasaribu DraIL, Si. MS. The Effect of Civilization Education Towards Students Attitude Democracy Sector of Humbang Hasundutan (A Case Study of Tenth Grade Sma Negeri Doloksanggul). International Journal of English Literature and Social Sciences. 2018;3(2):259–61. Available from: https://doi.org/10.22161/ijels.3.2.21
42. Bezliudniy O, Kravchenko O, Kondur O, Reznichenko I, Kyrsta N, Kuzmenko † † † † † Y, et al. National and Patriotic Education of Young Students by Means of Digital Technologies in Distance Learning Environment. IJCSNS International Journal of Computer Science and Network Security [Internet]. 2022;22(7):451. Available from: https://doi.org/10.22937/IJCSNS.2022.22.7.55
43. Garrity BF. A Quantitative Analysis of the Relationship among Sources of Aid and Predictors of Student Veteran Graduate and Persistence. Journal of Veterans Studies. 2017;2(2):76–90. Available from: https://doi.org/10.21061/jvs.v2i2.17
44. Li SJ, Jiang H, Yang H, Chen W, Peng J, Sun MW, et al. The dilemma of heterogeneity tests in meta-analysis: A challenge from a simulation study. PLoS One. 2015;10(5). Available from: https://doi.org/10.1371/journal.pone.0127538
45. Du H, Jiang G, Ke Z. Bootstrap-Based Between-Study Heterogeneity Tests in Meta-Analysis. Multivariate Behav Res. 2023;58(3). Available from: https://doi.org/10.1080/00273171.2021.1997701
46. Yusuf FA, Fajari LEW. Key Success Factors of Various Quality Assessment Institutions and Quality of Higher Education Services: A Meta-Analysis Study. Eurasian Journal of Educational Research. 2022;2022(98):184–202. Available from: https://ejer.com.tr/manuscript/index.php/journal/article/view/706
47. Ropovik I, Adamkovic M, Greger D. Neglect of publication bias compromises meta-analyses of educational research. PLoS One. 2021;16(6 June). https://doi.org/10.1371/journal.pone.0252415
FINANCING
This research was funded by the Indonesian Education Scholarship (Beasiswa Pendidikan Indonesia) from the Ministry of Education, Culture, Research, and Technology, under Decree Number 1855/J5.2.3./BPI.06/10/2021.
CONFLICT OF INTEREST
The authors declare that there is no conflict of interest.
AUTHORSHIP CONTRIBUTION
Conceptualization: Nursanda Rizki Adhari.
Data curation: Nursanda Rizki Adhari.
Formal analysis: Nursanda Rizki Adhari.
Research: Nursanda Rizki Adhari.
Methodology: Nursanda Rizki Adhari, Dadang Sundawa.
Project management: Nursanda Rizki Adhari, Cecep Darmawan.
Resources: Nursanda Rizki Adhari, Syaifullah.
Software: Nursanda Rizki Adhari.
Supervision: Dadang Sundawa, Cecep Darmawan.
Validation: Dadang Sundawa, Cecep Darmawan.
Display: Nursanda Rizki Adhari.
Drafting - original draft: Nursanda Rizki Adhari.
Writing - proofreading and editing: Nursanda Rizki Adhari.